Chinese Physics Letters, 2022, Vol. 39, No. 8, Article code 080503Express Letter Renormalization Group Theory of Eigen Microstates Teng Liu (刘腾)1†, Gao-Ke Hu (胡高科)1†, Jia-Qi Dong (董家奇)2, Jing-Fang Fan (樊京芳)1, Mao-Xin Liu (刘卯鑫)3, and Xiao-Song Chen (陈晓松)1* Affiliations 1School of Systems Science/Institute of Nonequilibrium Systems, Beijing Normal University, Beijing 100875, China 2Lanzhou Center for Theoretical Physics, Key Laboratory of Theoretical Physics of Gansu Province, and Key Laboratory for Magnetism and Magnetic Materials of MOE, Lanzhou University, Lanzhou 730000, China 3School of Science, Beijing University of Posts and Telecommunications, Beijing 100876, China Received 7 June 2022; accepted manuscript online 13 July 2022; published online 19 July 2022 These authors contributed equally to this work.
*Corresponding author. Email: chenxs@bnu.edu.cn
Citation Text: Liu T, Hu G K, Dong J Q et al. 2022 Chin. Phys. Lett. 39 080503    Abstract We propose a renormalization group (RG) theory of eigen microstates, which are introduced in the statistical ensemble composed of microstates obtained from experiments or computer simulations. A microstate in the ensemble can be considered as a linear superposition of eigen microstates with probability amplitudes equal to their eigenvalues. Under the renormalization of a factor $b$, the largest eigenvalue $\sigma_1$ has two trivial fixed points at low and high temperature limits and a critical fixed point with the RG relation $\sigma_1^b = b^{\beta/\nu} \sigma_1$, where $\beta$ and $\nu$ are the critical exponents of order parameter and correlation length, respectively. With the Ising model in different dimensions, it has been demonstrated that the RG theory of eigen microstates is able to identify the critical point and to predict critical exponents and the universality class. Our theory can be used in research of critical phenomena both in equilibrium and non-equilibrium systems without considering the Hamiltonian, which is the foundation of Wilson's RG theory and is absent for most complex systems.
cpl-39-8-080503-fig1.png
cpl-39-8-080503-fig2.png
cpl-39-8-080503-fig3.png
cpl-39-8-080503-fig4.png
cpl-39-8-080503-fig5.png
cpl-39-8-080503-fig6.png
cpl-39-8-080503-fig7.png
DOI:10.1088/0256-307X/39/8/080503 © 2022 Chinese Physics Society Article Text In systems consisting of many components (atoms, molecules, electrons, spins, etc.), one of the most striking phenomena is the emergence of diverse types of collective behavior, i.e., phases.[1,2] Under slight changes of external conditions, the systems may have dramatic structural rearrangements, i.e., phase transitions. An emergent phase is characterized by the so-called order parameter, which was introduced by Landau.[3] In association with continuous change or discontinuous jump of order parameter at the transition point, the phase transition is continuous or discontinuous. Near the transition point of a continuous phase transition, the correlation length $\xi$ is much larger than the microscopic length scale $\tilde{a}$. Hence, $\tilde{a}$ becomes irrelevant and $\xi$ is the only important length scale. The critical behaviors of system are governed by fluctuations that are statistically self-similar up to $\xi$. Kadanoff took advantage of this self-similarity and introduced the block spin scaling that gradually eliminates the correlated degrees of freedom at length scales $r \ll \xi$.[4] The major breakthrough in the theory of critical phenomena came with the renormalization group (RG) theory of Wilson[5,6] and co-workers,[7,8] which is based on the similarity of Hamiltonian during the renormalization. The RG theory has been well established and its theoretical predictions have been verified by experiments under the low-gravity environment of space.[9] The RG theory of critical phenomena has elucidated the mathematical mechanism for scaling and universality which states that all phase transitions can be divided into several distinct classes.[10] Within a given class, all critical points have the same asymptotic behaviors.[10] For very different systems (e.g., fluids and magnets) within a given class, there is the so-called two-scale factor universality so that the asymptotic critical behavior is believed to be known completely provided that two nonuniversal amplitudes are given.[11-15] However, it is proved by the RG of the $O(n)$ symmetric $\phi^4$ field theory with the spatially anisotropic Hamiltonian that the two-scale factor universality is valid for isotropic systems like fluids but not for anisotropic systems.[16] This new finding is of special importance since the anisotropy exists widely in real systems.[17] The predicted dependence of the critical Binder cumulant on the anisotropy has been confirmed by the Monte Carlo studies of the Ising models.[18,19] Nowadays, we need to study urgently the critical phenomena of complex systems without knowledge of their Hamiltonian.[20,21] Recently, we proposed an eigen microstate approach (EMA)[22,23] based on microstates obtained from experiments or simulations. The statistical ensemble composed of the microstates during an observation time period is described by a normalized matrix. From this matrix we can calculate eigen microstates. Now, we can consider a microstate as a linear superposition of eigen microstates with probability amplitudes equal to the corresponding eigenvalues. A finite eigenvalue in the thermodynamic limits indicates the condensation of eigen microstate and the emergence of a phase described by the eigen microstate. This approach is a generalization of the Bose–Einstein condensation of Bose gas and can be used to study phase transitions of broad interests. The order parameter of phase transition is identified naturally as the eigenvalue, which follows a finite-size scaling form in the critical region. According to the finite-size scaling form, we can calculate critical exponents of a phase transition and fix its universality class. The EMA has been applied successfully to study the equilibrium phase transitions of the Ising model[22,23] and the Viscek model of the non-equilibrium collective motion.[24] In addition, we have used EMA to investigate global temperature fluctuations of the Earth[23] and spatial distribution of ozone at different geopotential heights,[25] based on empirical data. In this Letter, we propose the RG theory of eigen microstates. First, we summarize the RG theory of Wilson based on the Hamiltonian in the following. We consider the Ising model on a $d$-dimensional lattice with size $L$ and lattice spacing $\tilde{a}$. Its Hamiltonian can be written as \begin{eqnarray} \beta H =\tilde{H} (K,h;\{ s_i\})= - K \sum_{\langle i,j \rangle } s_i s_j - h \sum_{i} s_i, \tag {1} \end{eqnarray} where $\beta = 1/k_{\rm B} T$, $s_i=\pm 1$, and $h$ is the external field. Its partition function can be calculated as \begin{eqnarray} Z(K,h;L) = \sum_{\{ s_i \}} \exp [-\tilde{H} (K,h;\{ s_i\})]. \tag {2} \end{eqnarray} All thermodynamic quantities can be obtained from this partition function. In the RG theory, the first step is to decrease the resolution by changing the minimum length scale from $\tilde{a}$ to $b \tilde{a}$, where $b > 1$. The cell of size $(b\tilde{a})^d$ has $N_I =b^d$ spins and $2^{N_I}$ microstates. We divide the $2^{N_I}$ microstates into two groups, which are represented by $\sigma_I$ and have cell spin $S_I =\pm 1$. All spins of the system can be expressed from $\{s_i\}$ to $\{ S_I,\sigma_I \}$. In the calculation of partition function, we consider first the contributions of all $\sigma_I$ for a set of cell spins $\{ S_I \}$ and have \begin{align} Z(K,h;L)&=\sum_{\{ S_I \}} \exp [-\tilde{H}^{\rm eff} (K_b,h_b;\{ S_I\})]\notag\\ &= Z^{\rm eff} (K_b,h_b;L/b), \tag {3} \end{align} where $K_b$ is related to the interaction between cell spins and $h_b$ is the external field acting on cell spins. The free energy density takes the form \begin{eqnarray} f (K,h;L)= - \frac{\ln Z(K,h;L)}{V} = - \frac{\ln Z^{\rm eff}(K_b,h_b;L)}{b^d \; V_b }, \tag {4} \end{eqnarray} where $V = L^d$, $V_b = (L/b)^d$. The singular part of free energy density follows the relation \begin{eqnarray} f_s (K,h; L/\tilde{a}) = b^{-d} f_s (K_b,h_b; L/b\tilde{a}), \tag {5} \end{eqnarray} where $K_b$ and $h_b$ follow the RG transforms \begin{align} &K_b=K R_1^b (K), \tag {6}\\ &h_b=h R_2^b (K). \tag {7} \end{align} These transforms have two trivial fixed points: \begin{align} &(1)~~~ (K=0,~h=0),\notag\\ &(2)~~~ (K=\infty,~h=0),\notag \end{align} which correspond to high temperature limit $T=\infty$ and low temperature limit $T=0$, respectively. In addition, there is a non-trivial fixed point ($K=K^*$, $h=0$), which corresponds to a critical point. Near this fixed point with small $\delta K = K - K^*$ and $\delta h = h$, we have the RG transforms \begin{align} &\delta K_b=\lambda_K \delta K , \tag {8}\\ &\delta h_b=\lambda_h \delta h. \tag {9} \end{align} The reduced temperature $t=(K^*-K)/K^*$ is related to $\delta K$ as $t=-\delta K/K^*$. At $h=0$, the correlation length approaches infinity with $t \to 0 $ in power law as $\xi (t) = \xi_0 t^{-\nu}$. At $t=0$, the correlation length goes to infinity with $h \to 0$ as $\xi_h (h) = \xi_{0\,h} h^{-\nu_h}$. After the renormalization with factor $b$, the system is taken away from the critical point with smaller correlation lengths $\xi (t_b) = \xi (t)/b$ and $\xi_h (h_b)=\xi_h (h)/b$. Then we have $t_b = b^{1/\nu} t$ and $h_b = b^{1/\nu_h} h$. Using the RG transforms of Eqs. (8) and (9), we obtain the critical exponents \begin{align} &\nu=\ln b /\ln \lambda_K , \tag {10}\\ &\nu_h=\ln b /\ln \lambda_h. \tag {11} \end{align} We rewrite the singular part of free energy density as functions of $t$ and $h$ and have \begin{eqnarray} f_s (t,h;L/\tilde{a}) = b^{-d} f_s (t b^{1/\nu},h b^{1/\nu_h};L/b\tilde{a}). \tag {12} \end{eqnarray} The order parameter, susceptibility, and specific heat can be calculated by the derivatives of $f_s$ with respect to $h$ and $t$ as \begin{align} &m(t,h;L/\tilde{a})=(b)^{1/\nu_h - d} f_s^{(1,h)} (t b^{1/\nu},h b^{1/\nu_h};L/b\tilde{a}), \tag {13}\\ &\chi (t,h;L/\tilde{a})=(b)^{2/\nu_h - d} f_s^{(2,h)} (t b^{1/\nu},h b^{1/\nu_h};L/b\tilde{a}), \tag {14}\\ &C_s(t,h;L/\tilde{a})=(b)^{2/\nu - d} f_s^{(2,t)} (t b^{1/\nu},h b^{1/\nu_h};L/b\tilde{a}). \tag {15} \end{align} After taking $h=0$ and the limit $L \to \infty$, we choose $b \propto t^{-\nu}$ for $t > 0$ and $b \propto (-t)^{-\nu}$ for $t < 0$. Then we obtain the bulk order parameter \begin{eqnarray} m(t,0;\infty) = \begin{cases} a_m (- t)^{\beta}\;, & \text{for}\; t \leq 0 ,\\ 0\;,& \text{for}\; t > 0,\\ \end{cases} \tag {16} \end{eqnarray} with $\beta= d \nu - \nu/\nu_h $, the bulk susceptibility \begin{eqnarray} \chi(t,0;\infty) = \begin{cases} a_{\chi}^{-} (-t)^{-\gamma}\;, & \text{for}\; t \leq 0 \;,\\ a_{\chi}^{+} t^{-\gamma}\;,& \text{for}\; t > 0\;,\\ \end{cases} \tag {17} \end{eqnarray} with $\gamma= 2 \nu/\nu_h - d \nu$, and the bulk specific heat \begin{eqnarray} C_s (t,0;\infty) = \begin{cases} a_{c}^{-} (-t)^{-\alpha}\;, & \text{for}\; t \leq 0 \;,\\ a_{c}^{+} t^{-\alpha}\;,& \text{for}\; t > 0\;,\\ \end{cases} \tag {18} \end{eqnarray} with $\alpha= 2 - d \nu$. The critical behaviors of thermodynamic quantities are essentially realized by the divergence of correlation length $\xi$ when approaching the critical point. The clusters composed of the correlated components possess the sizes proportional to $\xi^d$. The reduced critical exponents of thermodynamic quantities with respect to $\xi^d$ are more essential. They are $\bar{\beta} = \beta/d\nu$, $\bar{\gamma} = \gamma/d\nu$, and $\bar{\alpha} = \alpha/d\nu$, etc. The critical exponents of $\xi^d$ are $\bar{\nu} \equiv d\nu$ and $\bar{\nu}_{h} \equiv d \nu_h$. Now, the reduced critical exponents depend only on $\bar{\nu}$ and $\bar{\nu}_h$ as $\bar{\beta}=1 - 1/\bar{\nu}_{h} $, $\bar{\gamma} =2/\bar{\nu}_{h} - 1$, and $\bar{\alpha} =2/\bar{\nu}- 1 $. For the Ising model on $d$-dimensional lattice, $\nu= 1.0$, $0.63012(16)$,[26] and $0.5$ for $d=2$, $3$, and $4$, respectively. Correspondingly, we have $\bar{\nu}= 2.0$, $1.89036(48)$, $2.0 $, which show a weak dependence on dimension $d$. In the bond percolation on one- and two-dimensional lattices with long-range connection probability $P (r) \propto r^{-(d+\sigma)}$ for $\sigma < 0$, it was found that $\bar{\nu}$ keeps to be the same.[27] Now, we rewrite the singular part of free energy as \begin{eqnarray} f_s (t,h;L/\tilde{a}) = (b^d)^{-1} \bar{f}_s (t (b^d)^{1/\bar{\nu}},h (b^d)^{1/\bar{\nu}_h};N/b^d), \tag {19} \end{eqnarray} where $N = (L/\tilde{a})^d$. Then we obtain the RG transformation of the thermodynamic functions as follows: \begin{align} &m(t,h;L/\tilde{a})=(b^d)^{-\bar{\beta}} \bar{f}_s^{(1,h)} (t (b^d)^{1/\bar{\nu}},h (b^d)^{1/\bar{\nu}_h};N_b), \tag {20}\\ &\chi (t,h;L/\tilde{a})=(b^d)^{\bar{\gamma}} \bar{f}_s^{(2,h)} (t (b^d)^{1/\bar{\nu}},h (b^d)^{1/\bar{\nu}_h};N_b), \tag {21}\\ &C_s(t,h;L/\tilde{a})=(b^d)^{\bar{\alpha}} \bar{f}_s^{(2,t)} (t (b^d)^{1/\bar{\nu}},h (b^d)^{1/\bar{\nu}_h};N_b), \tag {22} \end{align} where $N_b = N/b^d$. With $b^d=N$ and $N_b =1$, we can reach the finite-size scaling form[28] \begin{eqnarray} f_s (t,h;L/\tilde{a}) = N^{-1} Y(t N^{1/\bar{\nu}},h N^{1/\bar{\nu}_h}), \tag {23} \end{eqnarray} and the thermodynamic quantities \begin{align} &m (t,h;L/\tilde{a})=N^{-\bar{\beta}} F_m (t N^{1/\bar{\nu}},h N^{1/\bar{\nu}_{h}}), \tag {24}\\ &\chi (t,h;L/\tilde{a})=N^{\bar{\gamma}} F_\chi (t N^{1/\bar{\nu}},h N^{1/\bar{\nu}_{h}}), \tag {25}\\ &C_s (t,h;L/\tilde{a})=N^{\bar{\alpha}} F_{\rm c} (t N^{1/\bar{\nu}},h N^{1/\bar{\nu}_{h}}). \tag {26} \end{align} As pointed out above, the RG theory of Wilson[5,6] cannot be applied to the systems whose Hamiltonian is unknown. To be able to study the critical phenomena of these systems, we develop here the RG theory of eigen microstates. The EMA developed by us[23,24] follows the concept of statistical ensemble, which was introduced by Gibbs in 1902.[29] The statistical ensemble is composed of microstates of a system, which are defined by the states of individuals in the system. Gibbs proposed to describe the statistical ensemble by the probability density of microstate. For equilibrium systems under three different thermodynamic conditions, the microcanonical, canonical, and grand canonical probability densities of microstate were given by Gibbs.[29] The thermodynamic properties of equilibrium system with known energy function can be calculated using the probability density of microstate. However, for a lot of complex systems, both energy function and probability density of microstate are unknown. We must go a new way. Instead of caring the energy function and the probability density of microstate, we study the eigen microstates of statistical ensemble to identify the collective and emergent behaviors of system. We consider a complex system composed of $N$ agents, which have states $s_i (\tau)$ with $i=1,2,\ldots, N$ and $\tau=1,2,\ldots, M$. The microstate at time $\tau$ is defined as \begin{eqnarray} {\boldsymbol S} (\tau) = \left[\begin{array}{c} S_{1} (\tau) \\ S_{2} (\tau) \\ \vdots \\ S_{N} (\tau)\end{array}\right]. \tag {27} \end{eqnarray} We take $M > N$ microstates to compose a statistical ensemble, which is described by an $N\times M$ matrix $A$ with elements \begin{eqnarray} A_{i\tau} = S_i (\tau)/\sqrt{C_0}, \tag {28} \end{eqnarray} where $C_0 = \sum_{\tau=1}^{M}\sum_{i=1}^{N}S_i^2 (\tau)$ so that ${\rm Tr} ({\boldsymbol A}\cdot {\boldsymbol A}^{\rm T})=1$. From the correlation matrix between agent states ${\boldsymbol K}={\boldsymbol A} {\boldsymbol A}^{\rm T}$, we can calculate eigenvectors ${\boldsymbol U}_I, \; I=1,2,\ldots,N$. The correlation matrix between microstates ${\boldsymbol C}={\boldsymbol A}^{\rm T} {\boldsymbol A}$ has $M$ eigenvectors ${\boldsymbol V}_I,\; I=1,2,\ldots,M$. According to the singular value decomposition (SVD), the ensemble matrix ${\boldsymbol A}$ can be decomposed as \begin{eqnarray} {\boldsymbol A}= \sum_{I=1}^{N} \sigma_I {\boldsymbol U}_I \otimes {\boldsymbol V}_I , \tag {29} \end{eqnarray} where $\sum_{I=1}^{N} \sigma_I^2 = 1$. According to the decomposition, we can consider microstate ${\boldsymbol S} (\tau)$ as a linear superposition of eigen microstates ${\boldsymbol U}_I$ by the relation ${\boldsymbol S} (\tau) = \sum_{I=1}^{N} \sigma_I V_{\tau I} {\boldsymbol U}_I \sqrt{C_0}$, where $\sigma_I$ is the probability amplitude of ${\boldsymbol U}_I$. For complex systems without dominant eigen microstate, all $\sigma_I \to 0$ in the limits $N \to \infty,\; M \to \infty$. With the finite limit of $\sigma_I $ there is a condensation of eigen microstate ${\boldsymbol U}_I$, which is similar to the Bose–Einstein condensation of Bose gas. This condensation corresponds to a phase transition with the new phase ${\boldsymbol U}_I$ and the order parameter $\sigma_I$. It is essential in the EMA to define microstates properly in order to catch the relevant properties of a system. The microstates of different systems could be quite different. For the Ising models, microstates are defined by all spins of system.[22,23] In the collective motion of living systems, microstates are described by the neighborhood density fluctuations and the orientations of velocity.[22,23] In studies of the Earth system with EMA, the reduced temperature fluctuations and the ozone's variations are used for microstates respectively.[23,25] The principal component analysis (PCA) is a algorithm to transform the columns of a dataset into a new set of principal components. After doing this, the information across the full dataset is effectively compressed in fewer principal components. We have applied the PCA to the two-dimensional Ising model and found that the eigenvalues are related to the susceptibility.[30] The spatial distributions of principal components were also investigated.[30] In comparison with the application of PCA, the EMA forces us to define properly the microstates of a system first from the dataset and then compose a statistical ensemble. With the application of the EMA, we can obtain not only the eigen microstates ${\boldsymbol U}_I$, but also their evolutions with time ${\boldsymbol V}_I$ and the order parameter $\sigma_I$. The essential and important information of system is contained in ${\boldsymbol V}_I$. As an example, ${\boldsymbol V}_I$ of the Earth system is related very closely to the global monsoon and the Oceanic Niño indexes at $I=2$ and $I=5$, respectively.[23] Thus, ${\boldsymbol V}_I$ is very helpful for identifying the features of the eigen microstate ${\boldsymbol U}_I$. Recently, it was attempted to bring the PCA into contact with RG.[31] It has been confirmed[22-24] that $\sigma_I$ of $d$-dimensional system with $N=(L/\tilde{a})^d$ follows the finite-size scaling form \begin{eqnarray} \sigma_I (t,h;L/\tilde{a}) = V^{-\bar{\beta}} F_I (t V^{1/\bar{\nu}},h V^{1/\bar{\nu}_{h}}), \tag {30} \end{eqnarray} in the asymptotic region $|t| \ll 1$, $|h| \ll 1$, and $L/\tilde{a} \gg 1$. After the RG transformation with minimum length scale changed from $\tilde{a}$ to $b\tilde{a}$, we define the states of a cell with the size $(b \tilde{a})^d$ from the states of all agents within the cell. Using the cell states we can obtain then the renormalized microstates ${\boldsymbol S}^b (\tau)$ and the renormalized ensemble matrix ${\boldsymbol A}^b$. With new eigenvalues $\sigma_I^b$ and new eigenvectors ${\boldsymbol U}_I^b$, ${\boldsymbol V}_I^b$, ${\boldsymbol A}^b$ can be decomposed correspondingly as \begin{eqnarray} {\boldsymbol A}^b= \sum_{I=1}^{N_b} \sigma_I^b {\boldsymbol U}_I^b \otimes {\boldsymbol V}_I^b, \tag {31} \end{eqnarray} where $N_b = N/b^d $ and $\sum_{I=1}^{N_b} (\sigma_I^b)^2 = 1$. At high-temperature limit $T = \infty$, no eigen microstates are dominant and $\sigma_I \propto 1/\sqrt{N}$. The eigenvalue $\sigma_1^b$ scales as $\sigma_1^b = b^{\omega}\sigma_1$ with $\omega=d/2$. At low-temperature limit $T=0$, $\sigma_1=1$. After the RG transformation, we have $\sigma_1^b=1$ so that $\sigma_1^b = b^{\omega}\sigma_1$ with $\omega=0$.
cpl-39-8-080503-fig1.png
Fig. 1. Renormalized eigenvalue $\sigma_{1}^{b}$ of the two-dimensional Ising model with $L/\tilde{a} = 256$ and $h=0$ (a) at low temperature and (b) at high temperature, (c) scaling function of $\sigma_{1}^{b}$ at hight temperature. The error bars of data hereafter are smaller than their symbols.
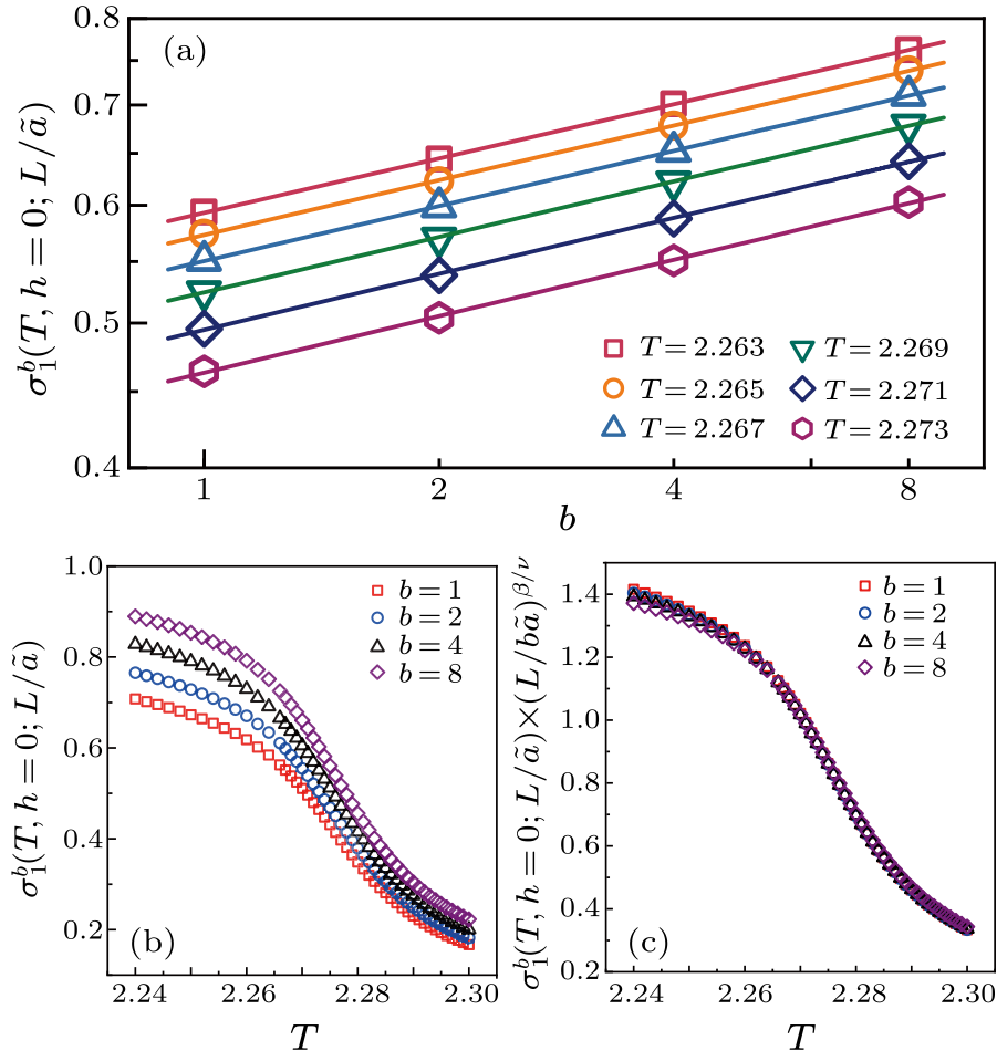
In the critical region, the eigenvalue after RG transformation becomes \begin{eqnarray} \sigma_1^b (t,h;L/\tilde{a})=\sigma_1 (t_b, h_b;L/b\tilde{a}), \tag {32} \end{eqnarray} where $t_b = t b^{1/\nu}$ and $h_b = h b^{1/\nu_h}$. In the following, we apply the RG theory of eigen microstates to the $d$-dimensional Ising model with nearest neighbor interaction on square lattice under periodic boundary conditions. The $d$-dimensional Ising models at $d=3,2,1$ with $N=(L/\tilde{a})^d$ spins are simulated using the Wolff algorithm[32] at different reduced temperatures $T= 1/K$ and external fields $h$. The bootstrap method is used to get final results and their statistical errors. In Fig. 1 we show the renormalized eigenvalue $\sigma_1^b$ at low and high temperatures of two-dimensional Ising model at $h=0$. At low- and hight-temperature limits, $\sigma_1^b = b^\omega \sigma_1$ are revealed with $\omega=0$ and $\omega=d/2=1$, respectively. Using the scaling form \begin{eqnarray} \sigma_1^b (t,h;L/\tilde{a})=N_b^{-\bar{\beta}} F_1 (t_b N_b^{1/\bar{\nu}}, h_b N_b^{1/\bar{\nu_h}}) \tag {33} \end{eqnarray} with $t_b N_b^{1/\bar{\nu}}=t N^{1/\bar{\nu}}$ and $h_b N_b^{1/\bar{\nu_h}}=h N^{1/\bar{\nu_h}}$, we can obtain the following RG relation \begin{eqnarray} \sigma_1^b (t,h;L/\tilde{a})=b^{\beta/\nu} \sigma_1 (t,h;L/\tilde{a}). \tag {34} \end{eqnarray} Therefore, $\ln \sigma_1^b = \beta/\nu \ln b + \ln \sigma_1$ and the log-log plot of $\sigma_1^b$ with respect to $b$ is a straight line with slope equal to $\beta/\nu$. This can be used to identify critical phenomenon and its universality class. In Fig. 2, the renormalized eigenvalue $\sigma_1^b$ of the two-dimensional Ising model at $h=0$ is presented for temperatures near the critical point. We find the straight lines with slope $\beta/\nu=0.1249(3)$, in agreement with the exact value $(\beta/\nu)_{\rm exact}=0.125$. The RG relation of eigen microstate has been confirmed by the Monte Carlo data.
cpl-39-8-080503-fig2.png
Fig. 2. Renormalized eigenvalue $\sigma_{1}^{b}$ of the two-dimensional Ising model with $L/\tilde{a} = 256$ and in the critical region with $h=0$: (a) log-log plot of $\sigma_{1}^{b}$ versus $b$, with the straight line being the best fit to the data, (b) $\sigma_{1}^{b}$ versus $T$ for different $b$, (c) scaling function of $\sigma_{1}^{b}$ versus $T$.
In Fig. 3, the renormalized eigenvalue $\sigma_1^b$ of the two-dimensional Ising model at $T=T_{\rm c}$ are given for small $h$ in the critical region. Straight lines with slope $\beta/\nu$ are also found. They confirm again the RG relation of eigen microstate. The eigenvalues $\sigma_2$ is comparable with $\sigma_1$ in the critical region[22,23] and there is also the RG relation \begin{align} \sigma_2^b (t,h;L/\tilde{a})&=N_b^{-\bar{\beta}} F_2 (t_b N_b^{1/\bar{\nu}}, h_b N_b^{1/\bar{\nu_h}})\notag\\ &= b^{\beta/\nu} \sigma_2 (t,h;L/\tilde{a}). \tag {35} \end{align} We introduce the ratio \begin{eqnarray} r (t,h;L/\tilde{a})&=&\sigma_2 (t,h;L/\tilde{a})/\sigma_1 (t,h;L/\tilde{a})\notag\\ &=&F_2 (t N^{1/\bar{\nu}}, h N^{1/\bar{\nu_h}})/F_1 (t N^{1/\bar{\nu}}, h N^{1/\bar{\nu_h}}),~~~~~ \tag {36} \end{eqnarray} which is unchanged under the renormalization and is universal.
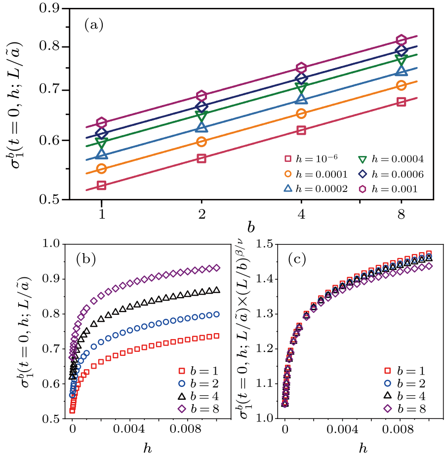
cpl-39-8-080503-fig3.png
Fig. 3. Renormalized eigenvalue $\sigma_{1}^{b}$ of the two-dimensional Ising model with $L/\tilde{a} = 256$ and in the critical region with $T=T_{\rm c}$. (a) Log-log plot of $\sigma_{1}^{b}$ versus $b$. At different $h$, data follow different straight lines with the same slope $\beta/\nu$. (b) $\sigma_{1}^{b}$ versus $h$ for different $b$. (c) Scaling function of $\sigma_{1}^{b}$ versus $h$.
In order to fix critical point precisely, we study the following ratio \begin{align} R(t,h;L/\tilde{a}, b)=\,&\frac{r (t,h;L/\tilde{a})}{r (t,h;L/b\tilde{a})}\notag\\ =\,&\frac{F_1 (t N_b^{1/\bar{\nu}}, h N_b^{1/\bar{\nu_h}})}{F_1 (t N^{1/\bar{\nu}}, h N^{1/\bar{\nu_h}})}\notag\\ &\times \frac{F_2 (t N^{1/\bar{\nu}}, h N^{1/\bar{\nu_h}})}{F_2 (t N_b^{1/\bar{\nu}}, h N_b^{1/\bar{\nu_h}})}. \tag {37} \end{align} At the critical point with $t=0$ and $h=h_{\rm c}=0$, $R$ becomes independent of $L/\tilde{a}$ and $b$, and $R_{\rm c} = 1$. This can be used to determine the critical point easily, by searching for the fixed point of $R$ with respect to $b$ and $R_{\rm c} = 1$.
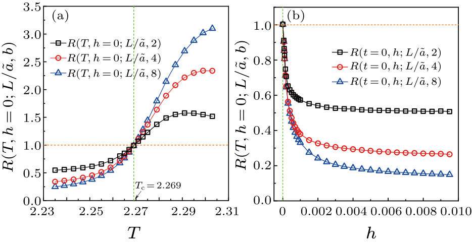
cpl-39-8-080503-fig4.png
Fig. 4. Ratio $R(t, h; L/\tilde{a}$, $b$) of two-dimensional Ising model with $L=256$ and $b= 2, 4, 8$. (a) At $h_{\rm c}=0$, $R$ has a fixed point at $T_{\rm c}=2.269$ and $R_{\rm c}=1$. (b) At $T=T_{\rm c}$, $R$ has a fixed point at $h_{\rm c}=0$ and $R_{\rm c}=1$.
In Fig. 4, we present $R(t,h;L/\tilde{a},b)$ of the two-dimensional Ising model with $L/\tilde{a}=256$ and $b=2,4,8$. At $h_{\rm c}=0$, there is a fixed point at $T_{\rm c}=2.269$. At $T=T_{\rm c}$, there is a fixed point at $h=0$. To calculate the critical exponents $\nu$ and $\nu_h$, we solve the following equations \begin{eqnarray} \sigma_1 (t,0; L/b\tilde{a})=\sigma_1^b (t_0, 0;L/\tilde{a}) \tag {38} \end{eqnarray} and \begin{eqnarray} \sigma_1 (0,h; L/b\tilde{a}) = \sigma_1^b (0,h_0;L/\tilde{a}) \tag {39} \end{eqnarray} for given $t_0$ and $h_0$ in the critical region. With their solutions $t_0^b$ and $h_0^b$, we can calculate the critical exponents \begin{align} &\bar{\nu}=d \ln b /\ln (t_0^b/t_0), \tag {40}\\ &\bar{\nu}_h=d \ln b / \ln (h_0^b/h_0). \tag {41} \end{align} From $\bar{\nu}$ and $\bar{\nu}_h$, we can obtain other critical exponents $\bar{\beta}=1 - 1/\bar{\nu}_{h} $, $\bar{\gamma} =2/\bar{\nu}_{h} - 1$, and $\bar{\alpha} =2/\bar{\nu}- 1$.
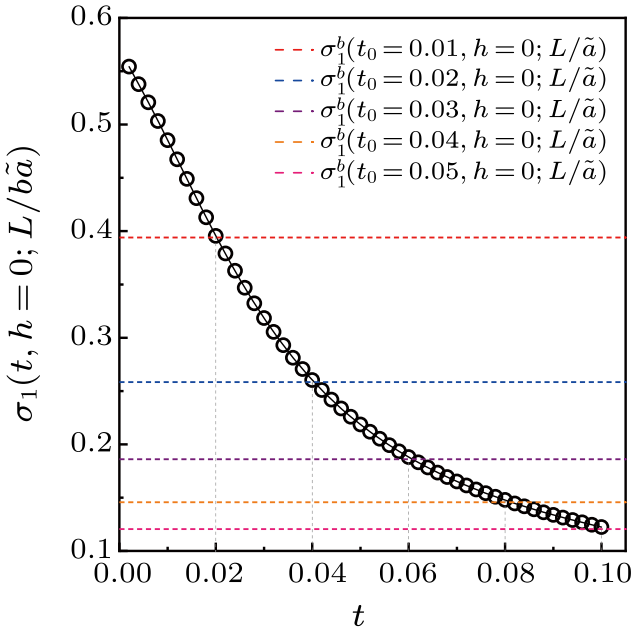
cpl-39-8-080503-fig5.png
Fig. 5. Solutions of $\sigma_{1}(t, 0;L/b\tilde{a}) = \sigma_{1}^{b}(t_0, 0;L/\tilde{a})$ at different $t_{0}$ for the two-dimensional Ising model. The colorful dash lines depict $\sigma_{1}^{b}(t_{0}, 0;L/\tilde{a})$ with $t_{0}=0.01$, 0.02, 0.03, 0.04, 0.05. The black circles depict $\sigma_{1}(t, 0;L/b\tilde{a})$ with respect to $t$.
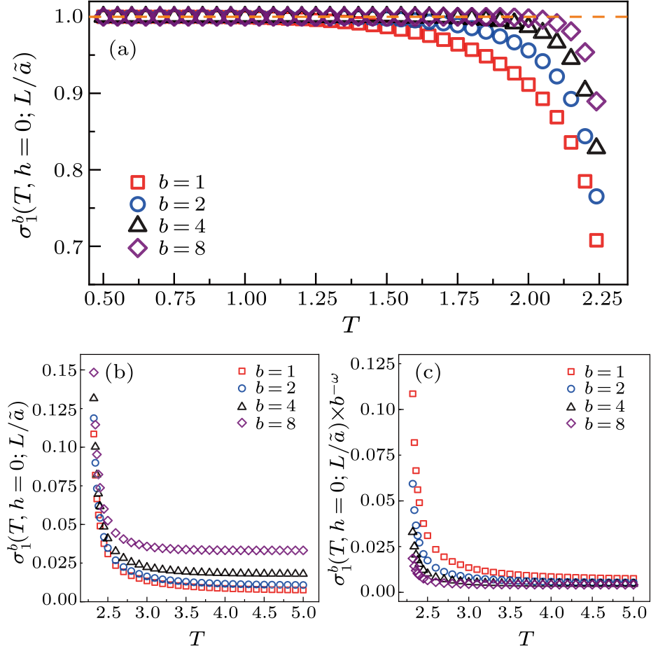
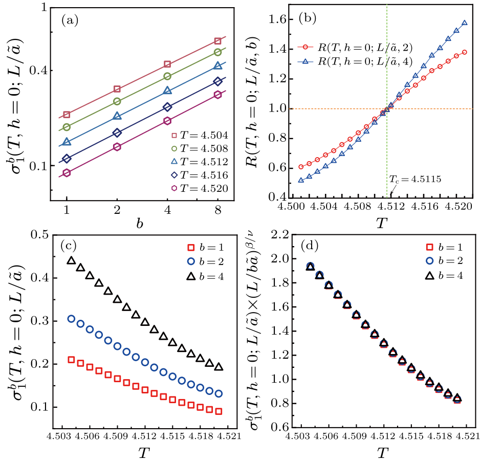
cpl-39-8-080503-fig6.png
Fig. 6. Renormalized eigenvalue $\sigma_1^b $ of the three-dimensional Ising model with $L/\tilde{a}=64$ and in the critical region with $h=0$. (a) Log-log plot of $\sigma_1^b$ versus $b$. At different $T$, data follow different straight lines with the same slope $\beta/\nu$. (b) $R(t,h;L/\tilde{a},b)$ at $b=2, 4$, having a cross point at $T_{\rm c}= 4.5115$. (c) $\sigma_1^b$ with respect to $T$ for different $b$. (d) Scaling function of $\sigma_1^b$ versus $T$.
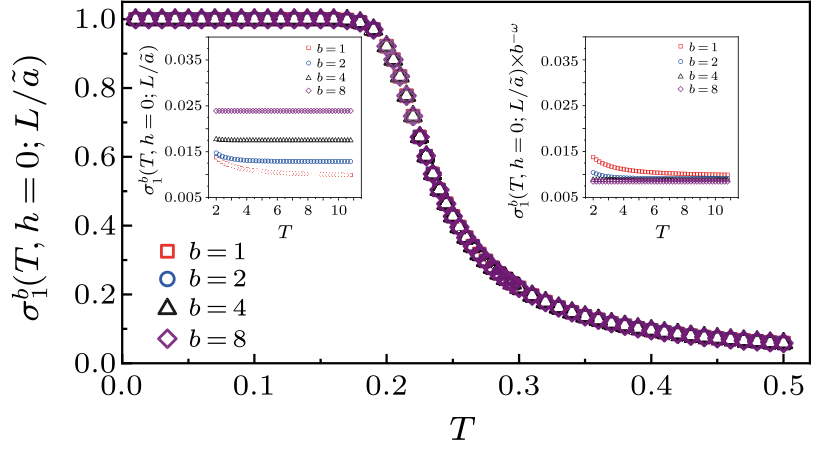
The solutions $t_0^b$ of $t_0=0.01, 0.02, 0.03, 0.04, 0.05$ are shown in Fig. 5. It is found that $t_0^b/t_0=b=2$ for different $t_0$. Therefore, $\nu=1$ and $\bar{\nu}=2$. For three-dimensional Ising model, the renormalized eigenvalue $\sigma_1^b$ in the critical region with $h=0$ is shown in Fig. 6. The RG relation $\sigma_1^b = b^{\beta/\nu} \sigma_1$ is verified again with $\beta/\nu=0.5199(3)$, in agreement with the recent Monte Carlo study of high precision.[33] In the one-dimensional Ising model, the correlation length $\xi$ goes to infinity with $T \to 0$ as $\xi=\tilde{a} (\ln[\coth (1/T)])^{-1}$.[34] The susceptibility $\chi = 2 \xi/\tilde{a}$ indicates that $\bar{\gamma}=1$[22,35] and $\bar{\beta}= 0 $.[34] In Fig. 7, we can see that the renormalized eigenvalue $\sigma_1^b $ of the one-dimensional Ising model follows the RG relation at low temperature and deviates from this relation when $T$ becomes higher.
cpl-39-8-080503-fig7.png
Fig. 7. Renormalized eigenvalue $\sigma_1^b $ of the one-dimensional Ising model with $L/\tilde{a}=2^{14}$ and $h=0$. The insets show the trivial fixed point at high temperature with $\omega=1/2$.
In summary, we have developed the RG theory of eigen microstates for studying critical phenomena of complex systems. In the statistical ensemble composed of microstates obtained from experiments or computer simulations of complex system, a microstate can be considered as a linear superposition of eigen microstates with probability amplitudes equal to the corresponding eigenvalues. A finite eigenvalue in the thermodynamic limit indicates the condensation of eigen microstate and the emergence of phase, similar to and being a generation of the Bose–Einstein condensation of Bose gas. Under the renormalization of a factor $b$, the largest renormalized eigenvalue $\sigma_1^b$ has two trivial fixed points at low and high temperature limits respectively and the critical fixed point with the RG relation $\sigma_1^b =\sigma_1 (t_b,h_b;L/b\tilde{a})= b^{\beta/\nu} \sigma_1 (t,h; L/\tilde{a})$, where $\beta$ and $\nu$ are the critical exponents of order parameter and correlation length, respectively. With the $d$-dimensional Ising models, it has been demonstrated that the RG theory of eigen microstates can be used to identify the critical point and to predict critical exponents and universality class. Our theory is able to deal with both equilibrium and non-equilibrium systems without caring for the Hamiltonian, which is the foundation of Wilson's RG theory and, however, is absent for most complex systems. Acknowledgments. This work was supported by the National Natural Science Foundation of China (Grant No. 12135003). We thank Professor Hui Li and Professor Zengru Di for helpful discussions.
References More Is DifferentScaling laws for ising models near T c Renormalization Group and Critical Phenomena. I. Renormalization Group and the Kadanoff Scaling PictureRenormalization Group and Critical Phenomena. II. Phase-Space Cell Analysis of Critical BehaviorCritical Exponents in 3.99 DimensionsThe renormalization group and the ε expansionCritical phenomena in microgravity: Past, present, and futureUniversality of Second-Order Phase Transitions: The Scale Factor for the Correlation LengthTwo-scale-factor universality and the ε expansionTwo scale factor universality in the spherical modelTwo-scale-factor universality and the renormalization groupNonuniversal finite-size scaling in anisotropic systemsStrong Anisotropy of 3D Diffusion in Living CellsCritical Binder cumulant in two-dimensional anisotropic Ising models3D ISING NONUNIVERSALITY: A MONTE CARLO STUDYColloquium : Criticality and dynamical scaling in living systemsCritical phenomena in complex networksCondensation of eigen microstate in statistical ensemble and phase transitionEigen microstates and their evolutions in complex systemsDiscontinuous and continuous transitions of collective behaviors in living systems*Eigen microstates and their evolution of global ozone at different geopotential heights25th-order high-temperature expansion results for three-dimensional Ising-like systems on the simple-cubic latticeCriticality of networks with long-range connectionsUniversal critical amplitudes in finite-size scalingCritical Behaviors and Finite-Size Scaling of Principal Fluctuation Modes in Complex SystemsPCA Meets RGCollective Monte Carlo Updating for Spin SystemsPushing the limits of Monte Carlo simulations for the three-dimensional Ising modelRelation between bulk order-parameter correlation function and finite-size scaling
[1] Anderson P W 1972 Science 177 393
[2]Stanley H E 1987 Introduction to Phase Transition and Critical Phenomena (New York: Oxford University Press)
[3]Landau L D 1937 Phys. Z. Sowjetunion 11 26
[4] Kadanoff L P 1966 Phys. Phys. Fiz. 2 263
[5] Wilson K G 1971 Phys. Rev. 4 3174
[6] Wilson K G 1971 Phys. Rev. 4 3184
[7] Wilson K G and Fisher M E 1972 Phys. Rev. Lett. 28 240
[8] Wilson K G and Kogut J 1974 Phys. Rep. 12 75
[9] Barmatz M, Hahn I, Lipa J A and Duncan R V 2007 Rev. Mod. Phys. 79 1
[10]Kadanoff L P 1971 Critical Phenomena, in Proceedings of the Enrico Fermi International School of Physics, Course LI, edited by Green M S (New York: Academic) p 100
[11] Stauffer D, Ferer M and Wortis M 1972 Phys. Rev. Lett. 29 345
[12] Aharony A 1974 Phys. Rev. B 9 2107
[13] Geber P R 1975 J. Phys. A 8 67
[14] Hohenberg P C, Aharony A, Halperin B J and Siggia E D 1976 Phys. Rev. B 13 2986
[15]Wegner F 1976 in Phase Transitions and Critical Phenomena, edited by Domb C and Green M S (New York: Academic) p 7
[16] Chen X S and Dohm V 2004 Phys. Rev. E 70 056136
[17] Chen X S 2020 Chin. Phys. Lett. 37 080103
[18] Selke W and Shchur L N 2005 J. Phys. A 38 L739
[19] Schulte M and Drope C 2005 Int. J. Mod. Phys. 16 1217
[20] Muñoz M A 2018 Rev. Mod. Phys. 90 031001
[21] Dorogovtsev S N, Goltsev A V and Mendes J F F 2008 Rev. Mod. Phys. 80 1275
[22] Hu G K, Liu T, Liu M X, Chen W and Chen X S 2019 Sci. Chin. Phys. Mech. & Astron. 62 990511
[23] Sun Y, Hu G K, Zhang Y W, Lu B, Lu Z H, Fan J F, Li X T, Deng Q M and Chen X S 2021 Commun. Theor. Phys. 73 065603
[24] Li X, Xue T T, Sun Y, Fan J F, Li H, Liu M X, Z G, Di Z R and Chen X S 2021 Chin. Phys. B 30 128703
[25] Chen X J, Ying N, Chen D, Zhang Y W, Lu B, Fan J F and Chen X S 2021 Chaos 31 071102
[26] Campostrini M, Pelissetto A, Rossi P and Vicari E 2002 Phys. Rev. E 65 066127
[27] Yang Z Q, Liu M X and Chen X S 2017 Sci. Chin. Phys. Mech. & Astron. 60 020521
[28] Privman V and Fisher M E 1984 Phys. Rev. B 30 322
[29]Gibbs J W 1902 Elementary Principles in Statistical Mechanics (New York: Charles Scribner's Sons)
[30] Li X T and Chen X S 2016 Commun. Theor. Phys. 66 355
[31] Bradde S and Bialek W 2017 J. Stat. Phys. 167 462
[32] Wolff U 1989 Phys. Rev. Lett. 62 361
[33] Ferrenberg A M, Xu J H and Landau D P 2018 Phys. Rev. E 97 043301
[34]Baxter R J 1982 Exactly Solved Models in Statistical Mechanics (London: Academic)
[35] Chen X S and Dohm V 2000 Eur. Phys. J. B 15 283