Chinese Physics Letters, 2021, Vol. 38, No. 8, Article code 085201 Excitation of RSAEs during Sawteeth-Like Oscillation in EAST Ming Xu (徐明)1, Guoqiang Zhong (钟国强)1*, Baolong Hao (郝保龙)2, Wei Shen (申伟)1, Liqun Hu (胡立群)1, Wei Chen (陈伟)3, Zhiyong Qiu (仇志勇)4, Xuexi Zhang (张学习)1, Youjun Hu (胡友俊)1, Yingying Li (李颖颖)1,5,6, Hailin Zhao (赵海林)1, Haiqing Liu (刘海庆)1, Bo Lyu (吕波)1, and the EAST Team1 Affiliations 1Institute of Plasma Physics, Chinese Academy of Sciences (ASIPP), Hefei 230031, China 2Advanced Energy Research Center, Shenzhen University, Shenzhen 518060, China 3Southwestern Institute of Physics, Chengdu 610041, China 4Department of Physics, Zhejiang University, Hangzhou 310027, China 5Enn Science and Technology Development Co., Ltd, Langfang 065001, China 6Hebei Key Laboratory of Compact Fusion, Langfang 065001, China Received 9 March 2021; accepted 8 July 2021; published online 2 August 2021 Supported by the National MCF Energy R&D Program of China (Grant Nos. 2019YFE03020000 and 2018YFE0304100), and the National Nature Science Foundation of China (Grant Nos. 11975267 and 11975273).
*Corresponding author. Email: gqzhong@ipp.ac.cn
Citation Text: Xu M, Zhong G Q, Hao B L, Shen W, and Hu L Q et al. 2021 Chin. Phys. Lett. 38 085201    Abstract The excitation condition of reversed shear Alfvén eigenmodes (RSAEs) has been investigated during sawtooth-like oscillation in the EAST tokamak. The sawtooth-like phenomena can be reproduced in the configuration of reversed magnetic shear, and the threshold gradient of electron temperature is formed accordingly, together with the increasing of the confinement of thermal particles. The distribution function of energetic ions density is altered dramatically when the neutral beam is switched from NBI1L (tangent) to NBI1R (perpendicular), which can be captured by the measurement of radial neutron camera. The RSAEs are excited easily in the vicinity of $q_{\min}$ (1.99 m $\leq R \leq 2.06$ m) for the injection of neutral beam with perpendicular direction, which should be excited by the steep gradient of energetic ions density. Furthermore, the excitation of RSAEs and the formation of threshold gradient of electron temperature can take place concurrently, which means that the neutral beam with perpendicular injection is beneficial for the establishment of internal transport barrier. DOI:10.1088/0256-307X/38/8/085201 © 2021 Chinese Physics Society Article Text The development of plasma scenarios with internal transport barriers (ITBs)[1] and reversed magnetic shear (RMS)[2,3] are promising for future tokamak devices. The Alfvén eigenmodes are easily excited when the distribution function of energetic ions density is suitable,[4] e.g., the reversed shear Alfvén eigenmodes (RSAEs)[5–8] can be excited in the configuration of RMS. Furthermore, double tearing modes (DTMs)[9–11] can be excited under the configuration of RMS, and the so-called “off-axis sawteeth” (OAS)[12] are excited accordingly. Interestingly, the formation of ITBs and the excitation of RSAEs (or Alfvén cascades) take place concurrently when the off-axis minimum of safety factor ($q_{\min}$) is located at low-order rational surfaces ($q_{\min} = 1,\, 2,\, 3$).[13–15] The interaction between energetic ions and RSAEs is performed by hybrid MHD code,[16,17] which has attracted significant attention in magnetic fusion plasmas.[18–20] Therefore, the measurement of the distribution function of energetic ions density is more important for understanding of excitation of RSAEs and the establishment of ITBs. The experiments are performed in Experimental Advanced Superconducting Tokamak (EAST), and the major and minor radius are $R \leq 1.9$ m and $a\approx 0.45$ m, respectively. The energetic ions can be produced directly by the injection of neutral beam (NBI), and the two sources of NBI in the EAST Tokamak are deviated from the co-current direction with labels of NBI1L and NBI1R, respectively, as given in Fig. 1(a). The included angle between the beam lines of NBI1L and NBI1R is $\Delta \alpha \approx 8.7^{\circ}$, and the beam lines of NBI1R are more perpendicular to the plasmas current than NBI1L. The neutral yield is dominated by interactions between the beam injected energetic ions and the thermal plasma,[21] namely the distribution of energetic ions can be speculated by the measurement of radial neutron camera (RNC).[22] The RNC in EAST consists of a collimator and six liquid scintillators, which are located on the equatorial plane of port K, and the field of view are marked in Fig. 1(b). The points of tangency between the sight-lines of RNC detectors with the poloidal magnetic surfaces are defined as $\rho_{\rm rnc} (r/a)$, e.g., the channel 2 with $\rho_{\rm rnc} (r/a) \approx 0.24$. Furthermore, the electron temperature $T_{\rm e}$ and line-integrated electron density $\langle n_{\rm e} \rangle$ are measured by the second harmonics mode of heterodyne radiometer of electron cyclotron emission (ECE) and Polarimeter Interferometer (POINT) arrays, respectively.
cpl-38-8-085201-fig1.png
Fig. 1. Schematic diagrams of EAST top view (a) and side view (b). The injection directions of NBI1L and NBI1R are demonstrated in (a), and the layouts of partial diagnostics (radial positions of ECE, field of view of POINT, SXR and RNC) are given in (b).
cpl-38-8-085201-fig2.png
Fig. 2. Discharge conditions for two cases (60212$\rightarrow$NBI1L & 60223$\rightarrow$NBI1R). (a) Output power of NBI, (b) neutron yield $f_{\rm n}$, (c) stored energy $W_{\rm dia}$, (d) $\langle n_{\rm e} \rangle$ measured by the POINT array at $Z = -0.17$ m, and (e) the core electron temperature $T_{\rm e0}$. Note: the $\langle n_{\rm e} \rangle$ of channel 60223 for $t \leq 6.85$ s is higher for the existence of ICRH as Ref. [23], which is switched off at $t \approx 6.8$ s.
The upper single null (USN) magnetic configuration is adopted with elongation $\kappa \approx 1.65$ at the last closed flux surface (LCFS) as shown in Fig. 1(b), and the safety factor is $q_{95} \approx 6.7$ at the 95% magnetic surface. The configuration of RMS is achieved by the combination of lower hybrid current driven (LHCD) and off-axis electron cyclotron resonance heating (ECRH), and the powers are $P_{\rm LH} \geq 3$ MW and $P_{\rm EC} \approx 0.5$ MW respectively. Two similar examples are selected as given in Fig. 2, and the time series of shot 60212 is moved forward for the convenient comparison ($t_{\rm new} = t_{\rm old} -590$ ms). The power $P_{\rm NB}$ and energy $E_{\rm b}$ for the two cases are nearly the same as 1.2 MW $\leq P_{\rm NB} \leq 1.3$ MW and $E_{\rm b} \approx 50$ keV respectively, while the injection directions of neutral beams are different (60212$\rightarrow$NBI1L & 60223$\rightarrow$NBI1R). Discharge parameters for the two cases are similar as follows: the neutron yield $f_{\rm n} \approx 1 \times 10^{13} n/s$, plasma stored energy $W_{\rm dia} \approx 100$ kJ, core averaged ion temperature $T_{\rm i0} \approx 1.5$ keV, and the maximum electron temperature and electron density are $T_{\rm e0} \geq 3$ keV and $n_{\rm e0} \geq 2.4 \times 10^{19}$ m$^{-3}$, respectively.
cpl-38-8-085201-fig3.png
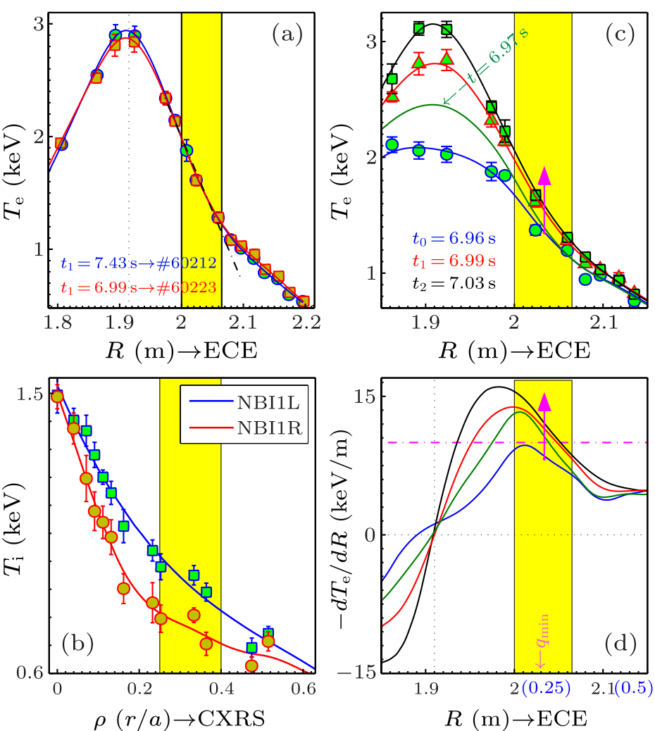
Fig. 3. Direct comparison of temperature profiles for the two cases. [(a), (b)] The profiles measured by ECE and CXRS arrays, respectively, and the alterations of $T_{\rm e}$-profiles for shot 60223 are given in (c) and (d). Note: the position of $q_{\min}$ is filled by yellow color, and the normalized minor radius is marked by blue font in (d).
The two cases are compared and given as follows. Firstly, the OASs are reproduced periodically ($\tau_{_{\scriptstyle \rm OAS}} \approx 100$ ms) for the two cases, and the alterations of $W_{\rm dia}$ and $T_{\rm e0}$ are $\Delta W_{\rm dia}/W_{\rm dia} \geq 10\%$ and $\Delta T_{\rm e0}/T_{\rm e0} \geq 30\%$, respectively. The excitation of precursor mode is accompanied by the minor collapse of core electron temperature, and the $T_{\rm e0}$ drops by 6% for the two cases as encompassed by the ellipses of Fig. 2(e). The precursor mode can be observed in the off-axis region 1.99 m $\leq R \leq 2.06$ m as described in Refs. [23,24], which is the reason for the title of “off-axis sawteeth”. The mode number of the precursor mode is $m/n = 2/1$, which is quite different in comparison with the conventional sawteeth of $m/n = 1/1$, where the $m$ and $n$ are poloidal and toroidal numbers, respectively. Secondly, the $T_{\rm e}$-profiles for the two cases are nearly the same as given in Fig. 3(a), and the stored energy is fully the same as shown in Fig. 2(c) for the moment of $t = 7.12$ s. Furthermore, the intensities of soft x-ray (SXR) signals for the two cases are fully the same, namely the plasma pressure can be expressed as $P \propto I_{sxr} \propto Z_{\rm eff} n_{\rm e}^2 T_{\rm e}^{-1/2}$. However, the $T_{\rm i}$-profiles for two cases are slightly different as demonstrated in Fig. 3(b), which are measured by the charge exchange recombination spectroscopy (CXRS) for similar discharge conditions. Thirdly, the responses of energy and particles are discrete during the oscillation of OAS. The $T_{\rm e}$ restores swiftly after each collapse of OAS, while the thermal particles are transport outward persistently. The inflection point of electron density can be observed for each OAS oscillation, e.g., two moments ($t = 6.99$ s $\rightarrow$ 60223 and $t = 7.43$ s $\rightarrow$ 60212) are marked in Fig. 2, which means that the outward transport of thermal particles is suppressed subsequently. Fourthly, the threshold gradient of electron temperature is formed for each OAS. The steep gradient of electron temperature is formed for the inflection point of $\langle n_{\rm e} \rangle$, and the confinement condition of thermal particles improves accordingly, where $|dT_{\rm e} /dR|_{R\approx 2.05\,{\rm m}} \geq 10$ keV/m is observed as shown in Fig. 3(d).
cpl-38-8-085201-fig4.png
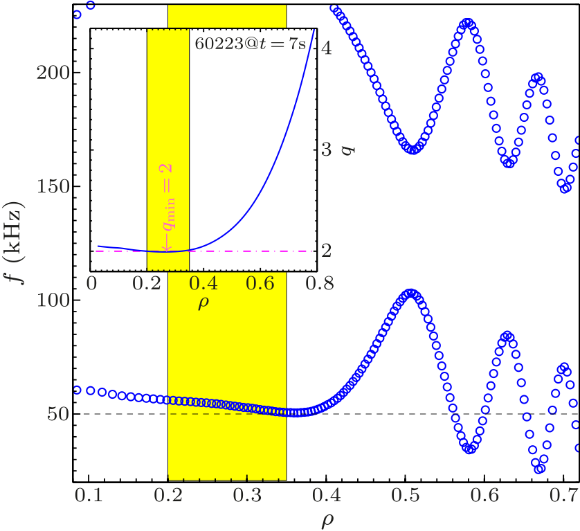
Fig. 4. The power spectra of ECE signal at the position of $q_{\min}$ for two cases are given in (a), and the frequency spectrogram of 60223 is given in (b).
However, the distribution functions of energetic ions densities for the two cases are different, and the neutron yield of shot 60223 is smaller than 60212 as given in Fig. 2(b). The RSAEs can be excited when the beam direction of NBI is switched from NBI1L to NBI1R, as shown in Fig. 4. The “grand cascade” is seen as a bunch of modes starting at the same time but with different frequencies, i.e., the pair of RSAEs with the same frequency but different $n$ and $m$ harmonics are excited simultaneously, and those branches are separated by the Doppler shifts. The eigenfrequency $\omega_{_{\scriptstyle \rm RSAE}}$ of RSAEs can be expressed as[7] $$\begin{alignat}{1} & \omega^2_{\rm RSAE} = \frac{v^2_{\rm A}} {R^2} \left( n- \frac{m} {q_{\min}} \right)^2 + \omega^2_{\rm BAE} + \Delta \omega^2,~~ \tag {1} \end{alignat} $$ $$\begin{alignat}{1} & \frac{d}{dt} \omega_{_{\scriptstyle \rm RSAE}} (t) \approx m \frac{v_{_{\scriptstyle \rm A}}}{R} \frac{d}{dt} q^{-1}_{\min} (t),~~ \tag {2} \end{alignat} $$ where $v_{_{\scriptstyle \rm A}}$ is the Alfvén velocity, $\omega_{_{\scriptstyle \rm BAE}} \approx (2T_{\rm i}/m_{\rm i})^{1/2} \times (7/4 + T_{\rm e}/T_{\rm i})^{1/2}/ R$ is the BAE angular frequency, and the $\Delta \omega$ term includes deviation from shear Alfvén continuum accumulation point due to, e.g., the corrections of fast ion pressure and finite pressure gradients. The minimum frequency $\omega_{_{\scriptstyle \rm RSAE,{\min}}}$ in Eq. (1) can be set by BAE frequency for the conditions: the $q_{\min}$ takes on integral value ($q_{\min} = m/n$), and the $\Delta \omega$ term can be neglected for their small contributions. Each RSAE mode consists of predominantly one poloidal Fourier component, and the higher $m$ has steeper slopes, as given by Eq. (2). The sloping rates ($k = df/dt$) of the above three adjacent branches are 0.5, 0.75 and 1 kHz/ms, respectively, as given in Ref. [23], namely the poloidal mode numbers $m$ are 2$l$, 3$l$ and 4$l$ respectively ($l$ is integral number), where the branch of $m = 2l$ is marked by the magenta curves in Fig. 4(b).
cpl-38-8-085201-fig5.png
Fig. 5. The Alfvén continuum spectra with $n = 2$ is achieved by the weak magnetic shear $q$-profile ($q_{\min} \approx 2$).
The RSAEs can be transformed from the BAEs for the condition of $n- m/ q_{\min} \neq 0$, and the upward sweeping frequency is observed for the decreasing $q_{\min}$ as given in Refs. [5,8,25]. One reasonable $q$-profile is reconstructed by the kinetic EFIT code as shown in Fig. 5, and the $q_{\min} \equiv 2$ is achieved for the existence of $m/n = 2/1$ precursor mode (where the estimation of $q_{\min} = 1$ is false in Refs. [23,24], which is misled by the disordered time series of SXR array). The minimum frequency of RSAE (or BAE) in the shaded region of $q_{\min}$ as demonstrated in Fig. 5 is nearly the same as experimental measurement. The RSAE frequency starts from the BAE to the gap of toroidal Alfvén eigenmode (TAE), which is damped for the frequency $f \leq 95$ kHz $ < f_{\rm TAE}$ [$\Delta f \leq 40$ kHz, $f_{\rm TAE} = v_{_{\scriptstyle \rm A}} / (4\pi q R) \approx 120$ kHz, $q = 2$]. The primary reason should be restricted by the lower energy of energetic ions, and the slowing down of beam ions $v_{\rm b,s} < v_{\rm b,{\max}} \approx 2.2\times 10^6$ m/s, $v_{_{\scriptstyle \rm A}} \approx 6\times 10^6$ m/s.
cpl-38-8-085201-fig6.png
Fig. 6. Profiles of energetic ions: (a) and (b) are classical distributions in the velocity space achieved by simulation, and the energetic ions density are measured by RNC as given in (c).
The distribution function of energetic ions density with plasma equilibria using the guiding center code ORBIT and NUBEAM/TRANSP has been performed in EAST as described in Ref. [26] and demonstrated in Figs. 6(a) and 6(b). The initial beam energy is $E_{\rm b} \approx 50$ keV, and the pitch angles ($v_\|/v$) of beam NBI1R is smaller than the beam NBI1L, which are $v_\|/v \sim 0.38$ and $v_\|/v \sim 0.65$, respectively. The slowing-down beam ion density distribution profiles of the two beams (NBI1L and NBI1R) are measured by the RNC, as given in Fig. 6(c). The gradient of energetic ions densities for the case 60223 (NBI1R) is steeper than the case 60212 (NBI1L) in the region of $q_{\min}$, which is further confirmed by the measurements of $T_{\rm i}$-profiles, where the flattened region of the case 60212 may be caused by the poor spatial resolution of RNC array. The excitation condition of RSAEs can be expressed as $$\begin{align} \frac{\gamma}{\omega_r }\propto \,&n_{_{\scriptstyle \rm E}} \left( \frac{ \omega_{_{\scriptstyle \rm *,E}} } {\omega} - 1 \right) \left\{ \delta [\omega - (n q_{\min} - m+1) v_\|] \right. \\ \,&\left. + \delta [\omega - (n q_{\min} - m-1) v_\|] \right\}, \end{align} $$ where $n_{_{\scriptstyle \rm E}}$ is the energetic ions density, $\omega_{_{\scriptstyle \rm *,E}} = -T_{\rm i} k_\theta \partial_r \ln f_{\rm 0,E}/ (Be)$ is the diamagnetic drift frequency of energetic ions, accounting for free energy from energetic ions nonuniformity, $f_{\rm 0,E}$ is the distribution function of energetic ions density. Therefore, a pair of RSAEs are excited easily when the beam of NBI1R (perpendicular) is adopted. In conclusion, the excitation conditions of RSAEs have been investigated on the EAST tokamak during the oscillation of OAS. The basic features of the OAS for the two cases (60212$\rightarrow$NBI1L & 60223$\rightarrow$NBI1R) are similar in the configuration of RMS, and the outward transport of thermal particles is suppressed for the formation of threshold gradient of electron temperature in the vicinity of $q_{\min}$. The core steep gradient of energetic ions density is formed when the perpendicular injection of NBI (NBI1R) is selected, and a pair of RSAEs are excited accordingly. Furthermore, the formation of threshold gradient of electron temperature and the excitation of RSAEs take place concurrently, which means that the neutral beam with perpendicular injection (NBI1R) is beneficial for the establishment of internal transport barrier that has been testified in the EAST campaigns.
References Internal transport barrier in tokamak and helical plasmasEnhanced Confinement and Stability in DIII-D Discharges with Reversed Magnetic ShearImproved Confinement with Reversed Magnetic Shear in TFTRBasic physics of Alfvén instabilities driven by energetic particles in toroidally confined plasmasTheoretical Interpretation of Alfvén Cascades in Tokamaks with Nonmonotonic q ProfilesLinear properties of reversed shear Alfvén eigenmodes in the DIII-D tokamakMajor minority: energetic particles in fusion plasmasDestabilization of reversed shear Alfvén eigenmodes driven by energetic ions during NBI in HL-2A plasmas with q min ∼ 1Fast Resistive Reconnection Regime in the Nonlinear Evolution of Double Tearing ModesNonlinear evolution of double tearing modes in tokamak plasmas via multiple helicity simulationCore-crash sawtooth associated with m / n = 2/1 double tearing mode in TokamakOff-Axis Sawteeth and Double-Tearing Reconnection in Reversed Magnetic Shear Plasmas in TFTRInternal transport barrier triggering by rational magnetic flux surfaces in tokamaksAlfvén cascades in JET discharges with NBI-heatingCore barrier formation near integer q surfaces in DIII-DHybrid simulations of reversed shear Alfvén eigenmodes and related nonlinear resonance with fast ions in a tokamak plasmaDynamics of reversed shear Alfvén eigenmode and energetic particles during current ramp-upPhysics of Alfvén waves and energetic particles in burning plasmasIntroduction to the interaction between energetic particles and Alfven eigenmodes in toroidal plasmasPhysics of kinetic Alfvén waves: a gyrokinetic theory approachEnergetic particle instabilities in fusion plasmasStatus of neutron diagnostics on the experimental advanced superconducting tokamakCharacteristics of off-axis sawteeth with an internal transport barrier in EASTExcitation of the beta-induced Alfvén-acoustic eigenmode during sawtooth-like oscillation in EASTObservation of Reversed Shear Alfvén Eigenmodes between Sawtooth Crashes in the Alcator C-Mod TokamakCalculation of prompt loss and toroidal field ripple loss under neutral beam injection on EAST
[1] Ida K and Fujita T 2018 Plasma Phys. Control. Fusion 60 033001
[2] Strait E J, Lao L L, Mauel M E, Rice B W, Taylor T S, Burrell K H, Chu M S, Lazarus E A, Osborne T H, Thompson S J, and Turnbull A D 1995 Phys. Rev. Lett. 75 4421
[3] Levinton F M, Zarnstorff M C, Batha S H, Bell M, Bell R E, Budny R V, Bush C, Chang Z, Fredrickson E, Janos A, Manickam J, Ramsey A, Sabbagh S A, Schmidt G L, Synakowski E J, and Taylor G 1995 Phys. Rev. Lett. 75 4417
[4] Heidbrink W W 2008 Phys. Plasmas 15 055501
[5] Berk H L, Borba D N, Breizman B N, Pinches S D, and Sharapov S E 2001 Phys. Rev. Lett. 87 185002
[6] Deng W, Lin Z, Holod I, Wang Z, Xiao Y, and Zhang H 2012 Nucl. Fusion 52 043006
[7] Breizman B N and Sharapov S E 2011 Plasma Phys. Control. Fusion 53 054001
[8] Chen W, Yu L, Liu Y, Ding X T, Xie H S, Zhu J, Yu L M, Ji X Q, Li J X, Li Y G, Yu D L, Shi Z B, Song X M, Cao J Y, Song S D, Dong Y B, Zhong W L, Jiang M, Cui Z Y, Huang Y, Zhou Y, Dong J Q, Xu M, Xia F, Yan L W, Yang Q W, Duan X R, and the H L A T 2014 Nucl. Fusion 54 104002
[9] Wang Z, Wang X, Dong J, Lei Y, Long Y, Mou Z, and Qu W 2007 Phys. Rev. Lett. 99 185004
[10] Wei L and Wang Z X 2014 Nucl. Fusion 54 043015
[11] Zhang W, Ma Z W, Zhu J, and Zhang H W 2019 Plasma Phys. Control. Fusion 61 075002
[12] Chang Z, Park W, Fredrickson E D, Batha S H, Bell M G, Bell R, Budny R V, Bush C E, Janos A, Levinton F M, McGuire K M, Park H, Sabbagh S A, Schmidt G L, Scott S D, Synakowski E J, Takahashi H, Taylor G, and Zarnstorff M C 1996 Phys. Rev. Lett. 77 3553
[13] Joffrin E, Challis C D, Conway G D, Garbet X, Gude A, Günter S, Hawkes N C, Hender T C, Howell D F, Huysmans G T A, Lazzaro E, Maget P, Marachek M, Peeters A G, Pinches S D, Sharapov S E, and JET-EFDA contributors 2003 Nucl. Fusion 43 1167
[14] Sharapov S E, Alper B, Yu F B, Berk H L, Borba D, Boswell C, Breizman B N, Challis C D, Baar M D, Luna E D L, Evangelidis E A, Hacquin S, Hawkes N C, Kiptily V G, Pinches S D, Sandquist P, Voitsekhovich I, Young N P, and JET-EFDA contributors 2006 Nucl. Fusion 46 S868
[15] Austin M E, Burrell K H, Waltz R E, Gentle K W, Gohil P, Greenfield C M, Groebner R J, Heidbrink W W, Luo Y, Kinsey J E, Makowski M A, McKee G R, Nazikian R, Petty C C, Prater R, Rhodes T L, Shafer M W, and Zeeland M A V 2006 Phys. Plasmas 13 082502
[16] Yang Y R, Chen W, Ye M Y, Yuan J B, and Xu M 2020 Nucl. Fusion 60 106012
[17] Wang T, Qiu Z, Zonca F, Briguglio S, and Vlad G 2020 Nucl. Fusion 60 126032
[18] Chen L and Zonca F 2016 Rev. Mod. Phys. 88 015008
[19] Todo Y 2019 Rev. Mod. Plasma Phys. 3 1
[20] Chen L, Zonca F, and Lin Y 2021 Rev. Mod. Plasma Phys. 5 1
[21] Sharapov S, Alper B, Berk H, Borba D, Breizman B, Challis C, Classen I, Edlund E, Eriksson J, Fasoli A, Fredrickson E, Fu G, Garcia-Munoz M, Gassner T, Ghantous K, Goloborodko V, Gorelenkov N, Gryaznevich M, Hacquin S, Heidbrink W, Hellesen C, Kiptily V, Kramer G, Lauber P, Lilley M, Lisak M, Nabais F, Nazikian R, Nyqvist R, Osakabe M, Thun C P V, Pinches S, Podesta M, Porkolab M, Shinohara K, Schoepf K, Todo Y, Toi K, Zeeland M V, Voitsekhovich I, White R, Yavorskij V, TG I E, and JET-EFDA contributors 2013 Nucl. Fusion 53 104022
[22] Zhong G, Hu L Q, Pu N, Zhou R J, Xiao M, Cao H R, Zhu Y B, Li K, Fan T S, Peng X Y, Du T F, Ge L J, Huang J, Xu G S, Wan B N, and Team E 2016 Rev. Sci. Instrum. 87 11D820
[23] Xu M, Zhao H L, Zang Q, Zhong G Q, Xu L Q, Liu H Q, Chen W, Huang J, Hu L Q, Xu G S, Gong X Z, Qian J P, Liu Y, Zhang T, Zhang Y, Sun Y W, Zhang X D, and Wan B N 2019 Nucl. Fusion 59 084005
[24] Xu M, Zhao H L, Zhang J Z, Xu L Q, Liu H Q, Li G Q, Zhong G Q, Zang Q, Hu L Q, Gong X Z, Xu G S, Zhang X D, Wan B N, and team EAST 2020 Nucl. Fusion 60 112005
[25] Edlund E M, Porkolab M, Kramer G J, Lin L, Lin Y, and Wukitch S J 2009 Phys. Rev. Lett. 102 165003
[26] Wu B, Hao B, White R, Wang J, Zang Q, Han X, and Hu C 2016 Plasma Phys. Control. Fusion 59 025004