Chinese Physics Letters, 2021, Vol. 38, No. 4, Article code 047402 Combined Study of Structural, Magnetic and Transport Properties of Eu$_{0.5}$$Ln$$_{0.5}$BiS$_{2}$F Superconductor Hui-Fei Zhai (翟会飞)1,2*, Bo Lin (林博)1, Pan Zhang (张攀)2, Hao Jiang (蒋好)3, Yu-Ke Li (李玉科)4, and Guang-Han Cao (曹光旱)2 Affiliations 1Department of Physics, Northwest University, Xi'an 710127, China 2Department of Physics, Zhejiang University, Hangzhou 310027, China 3School of Physics and Optoelectronics, Xiangtan University, Xiangtan 411105, China 4Department of Physics, Hangzhou Normal University, Hangzhou 310036, China Received 8 January 2021; accepted 22 February 2021; published online 6 April 2021 Supported by the National Natural Science Foundation of China (Grant No. 11704311), the Natural Science Foundation of Shaanxi Provincial Department of Education (Grant No. 17JK0772) and the Natural Science Foundation of Shaanxi Province (Grant No. 2018JQ1069)
*Corresponding author. Email: phyzhf@nwu.edu.cn
Citation Text: Di H F, Lin B, Zhang P, Jiang H, and Li Y K et al. 2021 Chin. Phys. Lett. 38 047402    Abstract Superconductivity below 0.3 K and a charge-density-wave-like (CDW-like) anomaly at 280 K were observed in EuBiS$_{2}$F recently. Here we report a systematic study of structural and transport properties in Eu$_{0.5}Ln_{0.5}$BiS$_{2}$F ($Ln$ = La, Ce, Pr, Nd, Sm) by electrical resistivity, magnetization, and specific heat measurements. The lattice constants have a significant change upon rare earth substitution for Eu, suggesting an effective doping. As $Ln$ is changed from Sm to La, the superconducting transition temperature $T_{\rm c}$ increases from 1.55 K to 2.8 K. In contrast to the metallic parent compound, the temperature dependence of electrical resistivity displays semiconducting-like behavior for all the Eu$_{0.5}Ln_{0.5}$BiS$_{2}$F samples. Meanwhile, the CDW-like anomaly observed in EuBiS$_{2}$F is completely suppressed. Unlike the mixed valence state in the undoped compound, Eu ions in these rare-earth-doped samples are mainly divalent. A specific anomaly at 1.3 K resembling that in EuBiS$_{2}$F suggests the coexistence of superconductivity and spin glass state for Eu$_{0.5}$La$_{0.5}$BiS$_{2}$F. Coexistence of ferromagnetic order and superconductivity is found below 2.2 K in Eu$_{0.5}$Ce$_{0.5}$BiS$_{2}$F samples. Our results supplies a rich diagram showing that many interesting properties can be induced in BiS$_{2}$-based compounds. DOI:10.1088/0256-307X/38/4/047402 © 2021 Chinese Physics Society Article Text The recent discovery of superconductivity (SC) in layered bismuth-sulfide compounds Bi$_{4}$O$_{4}$S$_{3}$[1] and LaBiS$_{2}$O$_{1-x}$F$_{x}$ (abbreviated as La-1121),[2] has attracted a great deal of attention. Following these reports, many new superconductors were discovered via various chemical substitutions or structure design approaches.[3–11] Band structure calculations reveal that the prototype parent compound LaBiS$_2$O is a band insulator with an energy gap of $\sim $0.8 eV.[12–14] The conduction bands near Fermi level mainly consist of Bi 6$p$ orbitals which are considered to be important for the emergence of SC. Upon electron doping, the conduction bands are partially filled, which leads to quasi-two-dimensional (Q2D) Fermi surface (note that hole doping fails to induce superconductivity in the 1121 system).[15] The band structure calculation also indicates possible Fermi surface (FS) nesting.[12] Recently we reported a novel 1121 compound, EuBiS$_2$F (Eu1121), which shows a CDW-like anomaly and SC without extrinsic doping.[9] Unlike other BiS$_{2}$-based parent compounds, Eu1121 shows metallic behavior at normal state, along with a possible CDW transition at about 280 K. Moreover, SC was observed below 0.3 K due to self-doping effect induced by the mixed valence of Eu. Compared with the other BiS$_2$ superconductors, the much lower $T_{\rm c}$ in Eu1121 may be caused by three reasons: (i) CDW forms in the normal state which leads to partial lose in FSs. (ii) Pair breaking by the Eu magnetic moment. (iii) The relatively low electron doping level ($x \sim 0.2$). Through La- and Se-doping into this system, $T_{\rm c}$ can be enhanced to 2.2 K and 3.8 K respectively (Thakur et al.[16] and Gen Jinno et al.[17]). Under high pressures, $T_{\rm c}$ reaches as high as 8.6 K and 10.0 K for EuBiS$_{2}$F and Eu$_{0.5}$La$_{0.5}$BiS$_{2}$F, respectively (Guo et al.[18] and Thakur et al.[16]). A previous theoretical study on LaBiS$_{2}$O$_{1-x}$F$_{x}$ proposed that the maximum $T_{\rm c}$ could be achieved at $x \sim 0.5$, which was regarded as the optimal doping level.[19] Several experimental results in $Ln$BiS$_{2}$O$_{1-x}$F$_{x}$ ($Ln$ = La, Ce) and Sr$_{0.5} Ln_{0.5}$BiS$_{2}$F ($Ln$ = La, Ce, Pr, Nd, Sm) have supported this prediction.[2,3,20] Previous reports on Eu$_{0.5}$La$_{0.5}$BiS$_{2}$F confirmed that $T_{\rm c}$ can indeed reach a higher value when the electron doping level is optimal.[16] However, further study is needed to verify this conclusion. Moreover, how the CDW-like anomaly will evolve and impact on SC with carrier density increasing is also worth exploring. Here we report our successful trying in synthesizing a series of new bismuth sulfide, Eu$_{0.5} Ln_{0.5}$BiS$_{2}$F, through trivalent La, Pr, Nd and Sm substitution for Eu. For Ce-doped samples, we found that ferromagnetic ordering for Ce 4$f$ moment at 8 K, SC at 2.2 K and a possible anti-ferromagnetic transition at 2.1 K coexist with each other (for more detailed information, please refer to Ref. [21]). As is expected, all these doped compounds exhibit SC with much higher $T_{\rm c}$ than that of its parent compound. For Eu$_{0.5}$La$_{0.5}$BiS$_{2}$F, $T_{\rm c}$ reaches 2.8 K. Meanwhile, the CDW-like transition disappears for all the doped samples, and $\rho(T)$ exhibits semi-conducting behavior in the normal state. Experiment. Polycrystalline samples of Eu$_{0.5} Ln_{0.5}$BiS$_{2}$F ($Ln$ = La, Ce, Pr, Nd, Sm) were synthesized by solid state reaction in vacuum using powders of EuF$_{2}$ (Alfa Aesar, 99.9%), Bi$_{2}$S$_{3}$ (99.995%), La (99.9%), Ce (99.9%), Pr (99.9%), Nd (99.1%), Sm (99.9%)), Ga (99.9%)) and S (99.9995%). The stoichiometric mixtures were placed into an alumina tube jacketed with an evacuated quartz ampoule. After the first firing at 1053 K for 10 h, the mixtures were ground in an agate mortar, and pressed into pellets under a pressure of 2000 kg/cm$^{2}$. The pellets were sintered at 1053 K and kept at that temperature for 10 h in vacuum again, followed by naturally cooling to room temperature. Note that all the procedures except for sample-heating and ampoule-sealing were conducted in a glove box filled with pure argon (the water and oxygen content was below 0.1 ppm). Powder x-ray diffraction (XRD) was performed at room temperature using a PANalytical x-ray diffractometer (model EMPYREAN) with a monochromatic Cu $K_{\alpha1}$ radiation. The lattice parameters were obtained by a least-square fit to the experimental data using the programm RIETAN $2000$, using space group of $P$4/nmm as previously proposed.[2,3,7] Temperature-dependent resistivity was measured in a Cryogenic Mini-CFM measurement system by a standard four-terminal method. Additional resistivity measurements down to 0.4 K were carried out on an Oxford superconducting magnet system equipped with[3] He cryostat. The dc magnetization measurement was performed on a commercial Quantum Design magnetic property measurement system (MPMS). The specific heat capacity was measured down to 2 K using a relaxation technique, on a Quantum Design physical property measurement system (PPMS-9). Results and Discussion. Figure 1 shows the powder XRD results of Eu$_{0.5} Ln_{0.5}$BiS$_{2}$F ($Ln$ = La, Ce, Pr, Nd, and Sm). For all the five compounds, the main diffraction peaks can be well indexed based on a tetragonal structure with the space group $P$4/nmm. The attempt of Eu$_{0.5}$Gd$_{0.5}$BiS$_{2}$F and the other Lanthanides after Eu were unsuccessful. The lattice-parameter calculation results is shown in Fig. 1(b). As $Ln$ is changed from La to Ce, Pr, Nd, and then Sm, the $a$ axis decreases almost linearly from 4.0772(6) Å to 4.0537(2) Å, while simultaneously the $c$ axis increases from 13.2961(4) Å to 13.4371(1) Å. Consequently, the $c/a$ has a remarkable shrinkage as the $Ln$ radius increases. This result is consistent with the fact that the radius of $Ln$ ions decreases gradually as $Ln$ goes from the light to heavy rare-earth elements. Compared with $a=4.0508$(1) Å and $c=13.5338$(3) Å of Eu1121, the change in lattice constants indicates that the rare earth elements are indeed doped into the lattice. Interestingly, the lattice volume seems unchanged after this $Ln$-doping. Similar phenomenon is also found in $Ln$-doped Sr$_{0.5} Ln_{0.5}$BiS$_{2}$F.[22] In comparison, the cell volume of Sr$_{1-x}$La$_{x}$BiS$_{2}$F manifests an obvious decrease as La-doping level grows.[20] As we stated in un-doped Eu1121,[9] the $c/a$ value decreases upon electron doping. Thus the $c/a$ reduction observed in our case may reflect the enhancement of electron carrier density. Considering that La-doped sample has the smallest $c/a$ value, which means the highest electron carrier concentration, combined with the fact that lattice volume remains almost unchanged via this $Ln$ substitution for Eu, we propose that the effective electron carrier concentration may be lower than the nominal value for compounds with $Ln$ = Pr, Nd, and Sm.
cpl-38-4-047402-fig1.png
Fig. 1. Structural characterizations of Eu$_{0.5} Ln_{0.5}$BiS$_{2}$F ($Ln$ = La, Pr, Nd, Sm) by x-ray diffraction with Cu $K_{\alpha1}$ radiation. (a) Room-temperature XRD patterns with a crystalline structure shown in the inset. Minor impurity phases of Bi$_{2}$S$_{3}$ and Bi can be detected, marked with $\#$ and $*$ respectively. (b) Lattice parameters of $a$ and $c$ axes as functions of different rare-earth elements. (c) The rare-earth radius dependence of the ratio $c/a$ and $T_{\rm c}$.
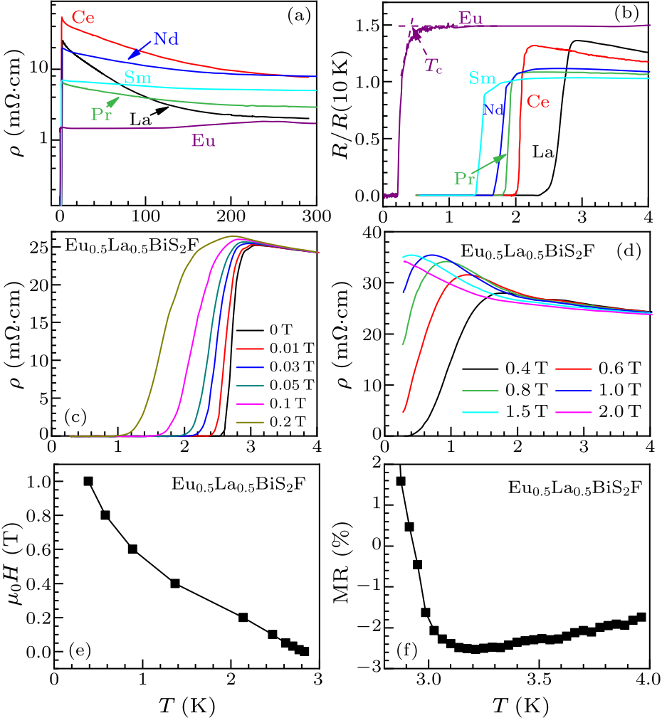
The temperature-dependent resistivity is shown in Fig. 2(a), from which three prominent features can be identified. (i) Semiconducting-like behavior in the entire measured temperature range before SC is observed for all doped samples. Unlike the parent compound Eu1121, which exhibits metallic conduction with positive temperature coefficient of resistivity (TCR), the $\rho(T)$ of Eu$_{0.5} Ln_{0.5}$BiS$_{2}$F ($Ln$ = La, Ce, Pr, Nd, and Sm) shows semiconductor-like behavior. The negative TCR, similar with the La-doped sister compound SrBiS$_{2}$F,[7,20] could be explained by the Anderson localization.[20] Due to different ionic radii between $Ln$ (La, Ce, Pr, Nd, and Sm) and Eu, $Ln$ substitution brings disorder potential into the conducting BiS$_{2}$ bilayers. (ii) Resistivity anomaly appearing at normal state in Eu1121 vanishes. The anomaly in $\rho(T)$ pronounced for Eu1121 was ascribed to possible CDW transition. A minimal electronic models based on a first-principles band calculation suggests that the two Bi-6$p$ bands has quasi-1-dimensional (Q1D) feature, which gives good nesting of the Fermi surface.[19] Possible CDW phases due to Q1D distortions of the Bi and/or S atoms were also proposed.[12] Note that the CDW-like anomaly is completely suppressed by doping. We also notice that in BiS$_{2}$-based superconductors, only those compounds which exhibit metallic behavior in $\rho(T)$ may show possible CDW-like transitions.[8,9,23] This may imply that the CDW-like instability is suppressed to lower temperatures and the direct observation of CDW-like anomaly is hindered by the giant semi-conducting signals, or is smeared out through electron doping into Eu1121 system. (iii) SC has remarkable enhancement [see Fig. 2(b)]. Upon doping, $T_{\rm c}$ increases monotonically as $Ln$ is changed from Sm to Nd, Pr, Ce and then La. For the La-doped sample, $T_{\rm c}$ reaches 2.82 K, nearly 7 times larger than that of Eu1121 ($T_{\rm c}$ 0.4 K). Note that the maximum $T_{\rm c}$ found in LaBiS$_{2}$O$_{1-x}$F$_{x}$ is about 10.6 K under high pressures, which is less than 5 times higher than that of ambient pressures.[2] Thus this extent of enhancement in $T_{\rm c}$ we found in this system is incredible, the reason for which is deserved to clarify. We should mention that the evolution of $T_{\rm c}$ with pressure has recently been reported for Eu$_{0.5}$La$_{0.5}$BiS$_{2}$F.[16] They only observed a small drop that relates to SC in resistivity at 2.2 K, and no zero resistance at ambient pressure down to 2 K, which is the lowest temperature they can achieve. It is well known that $T_{\rm c}$ is highly dependent on the electron carrier density for BiS$_{2}$-based superconductors. There is a possibility that slight variations in the chemical composition of the samples in their study compared to those studied by us, which may lead to different electron doping levels, could be responsible for differences in the material's properties. From the view of lattice parameters, the $a$ value in Ref. [16] is smaller than that in our case, while the $c$ value is somewhat larger. This means that we have a relatively smaller ratio of $c/a$, which indicates a higher electron doping level in our case. Figures 2(c) and 2(d) show the enlarged low-$T$ resistivity for the Eu$_{0.5}$La$_{0.5}$BiS$_{2}$F sample under various magnetic fields below 4 K. With increasing magnetic fields, the resistive transition shifts towards lower temperatures and becomes broadened, further affirming the superconducting transition. The $T_{\rm c}(H)$, defined as a temperature where the resistivity falls to 90% of the normal-state value, is plotted as a function of magnetic field in Fig. 2(e). The $\mu_{0}H_{\rm c2}$–$T$ diagram shows a slight upward curvature, which is probably due to large anisotropy in $H_{\rm c2}$ or the internal field induced by Eu$^{2+}$ ions (further discussed below).[24] The initial slope $\mu_{0} \partial H_{\rm c2}/\partial T$ near $T_{\rm c}$ is $-0.8$ T/K, giving an upper critical field of 1.31 T by linear extrapolation, which is obviously smaller than that of Pauli paramagnetic limit $\mu_{0}H_{\rm P} = 1.84 T_{\rm c} = 5.09$ T. With magnetic fields increasing to 2 T, negative magnetoresistance is observed in the normal state, as clearly shown in Fig. 2(f). In the Eu1121 compound, we observed a specific anomaly below 1.6 K, which was attributed to the spin glass transition.[9] This lets us consider that the negative magnetoresistance phenomenon may be the response of the frozen and non-ordered Eu$^{2+}$ spins to the magnetic fields. Later specific heat measurement confirms this proposal, which will be discussed in the following.
cpl-38-4-047402-fig2.png
Fig. 2. (a) Temperature dependence of resistivity for Eu$_{0.5} Ln_{0.5}$BiS$_{2}$F ($Ln$ = La, Ce, Pr, Nd, Sm and Eu) polycrystalline samples. (b) An enlarged view of the same data normalized by the resistivity at 10 K. $T_{\rm c}$ is defined by the crossing method. (c) and (d) Field dependence of resistive transition below 4 K for the La-doped sample. (e) The upper critical fields as a function of temperature for Eu$_{0.5}$La$_{0.5}$BiS$_{2}$F. (f) Temperature-dependent magnetoresistance MR$_{\rm 2T}\% = 100 \times (\rho_{\rm 2T} -\rho_{\rm 0T}$)/$\rho_{\rm 0T}$ for La-doped sample.
In order to obtain more information about the magnetism associated with Eu ions and $Ln^{3+}$ ions as $Ln$ is magnetic rare-earth elements (except for La), the magnetic susceptibility of Eu$_{0.5} Ln_{0.5}$BiS$_{2}$F was measured under the magnetic field of 1000 Oe. Figure 3(a) shows the temperature dependence of magnetic susceptibility for Eu$_{0.5}$La$_{0.5}$BiS$_{2}$F as a representative. The susceptibility data well obeys the extended Curie–Weiss law $\chi(T) = \chi_{0}+C/(T + \theta_{_{\rm W}})$, where $\chi_{0}$ is the temperature-independent susceptibility, $C$ is the Curie constant, and $\theta_{_{\rm W}}$ is the Weiss temperature. By fitting the Curie–Weiss law [the red curve in Fig. 3(a)], we obtained that the effective magnetic moment is 7.96$\mu_{_{\rm B}}$ per mol of Eu, which is consistent with the theoretical values of magnetic moments for free Eu ions (7.94$\mu_{_{\rm B}}$/Eu$^{2+}$). We also fitted the data using the Curie–Weiss law for other doped samples. This fitting gives the corresponding values of effective moments $\mu_{\rm eff}$ for Eu ions and Weiss temperatures $\theta_{_{\rm W}}$, which are summarized in Table 1. Obviously, compared with 7.2$\mu_{_{\rm B}}$/f.u. in Eu1121, the $\mu_{\rm eff}$ values for all the doped samples basically agree with the expected values. This means that all the Eu ions in Eu$_{0.5} Ln_{0.5}$BiS$_{2}$F are actually divalent (which is further supported by the isothermal magnetization measurements, data is not shown here). The electrons doped into BiS$_{2}$ bilayers which induce SC is contributed by $Ln$ ions. Note that our result is different from that derived by Mizuguchi et al., which show a mixed valence state in Eu$_{0.5}$La$_{0.5}$BiS$_{2}$F.[25] As stated above, this may be associated with the sample synthesis method. Tiny deviation in element stoichiometry, or variant sample synthesis pressure and sintering temperature, may lead to significant difference in sample properties (for example, crystal structure and electrical resistivity). The valence state of Eu ions is sensitive to the crystal lattice change, as observed in Se-doped Eu$_{3}$Bi$_{2}$S$_{4}$F$_{4}$.[23] This phenomenon was also observed in EuBiS$_{2}$F prepared by our group and Suzuki et al.[9,26] Though Meissner effect is not observed above 2 K, we do find a clear drop at 2.3 K [see Figs. 3(b) and 3(c)]. At first glance, this small peak seems to be an anti-ferromagnetic transition, similar with what is detected at the same temperature in Eu$_{3}$Bi$_{2}$S$_{2}$F$_{4}$,[10] but they are essentially different. First, there is no corresponding peak in the specific data at the same temperature, as shown in Fig. 4. Secondly, the transition can be smeared out easily at a field only about 100 Oe, as can be seen in Fig. 3(b). Thirdly, the divergence of the data under zero field cooling (ZFC) and field cooling (FC) was obviously observed. These three features firmly demonstrate that the drop originates from the SC transition. Absence of direct observation of Meissner effect is often seen in BiS$_{2}$-based systems with magnetic ordered states.[3,9,21,27] The amphibolous diamagnetic signal in our case may suggest the presence of short range order, which is verified by the following specific result (shown below). The temperature interval between the spin glass transition (around 1.3 K) and SC ($T_{\rm c}^{\rm zero} \sim 2.3$ K) is so small that the giant magnetic signals will most likely prevent us from the detection of diamagnetic behavior. Similar scenario is also seen in Eu$_{0.5}$La$_{0.5}$BiS$_{2}$F reported by Gen et al.[17] They proposed that filamentary SC may be induced by local distortion, and bulk SC can be hardly seen in this situation. However, in our case, after subtraction of the extrapolation part of a linear fitting result for the data before drop occurs from the original curve [see Fig. 3(d)], diamagnetic signal can be clearly seen below 2.3 K. This temperature is basically corresponding to the point where zero resistance is achieved in $\rho(T)$, further confirming SC in Eu$_{0.5}$La$_{0.5}$BiS$_{2}$F.
cpl-38-4-047402-fig3.png
Fig. 3. Magnetic properties of Eu$_{0.5}$La$_{0.5}$BiS$_{2}$F. (a) Temperature dependence of dc magnetic susceptibility under 1000 Oe. The red line is the fitted curve. (b) Magnetic susceptibility data below 4 K under various magnetic fields. The red dashed line is a linear fitting for data before superconducting transition occurs. (c) An enlarged plot of the low temperature data with ZFC and FC modes under 10 Oe. (d) Diamagnetic signals obtained after subtraction of the linear fitting result from the original ZFC curve for $H = 5$ Oe.
cpl-38-4-047402-fig4.png
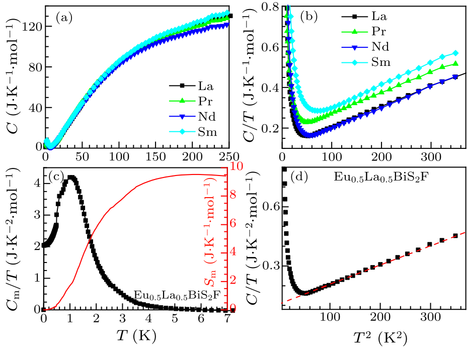
Fig. 4. (a) Temperature dependence of specific heat capacity for Eu$_{0.5} Ln_{0.5}$BiS$_{2}$F ($Ln$ = La, Pr, Nd, Sm). (b) The zoomed low-temperature $C(T)$ data. (c) $C_{\rm m}/T$ (left axis) and magnetic entropy $S_{\rm m}$ (right axis) versus $T$. (d) Plot of $C/T$ vs $T^{2}$ at low-temperature region for the La-doped sample (the red line depicts the fitting curve using the equation $C/T = \gamma + \beta T^{2}$).
Figure 4(a) shows the temperature dependence of specific heat $C(T)$ for Eu$_{0.5} Ln_{0.5}$BiS$_{2}$F. $C(T)$ ($Ln$ = La, Pr, Nd, Sm) data has a saturation tendency to 130 J$\cdot$K$^{-1}$$\cdot$mol$^{-1}$ at room temperature for all the samples, consistent with the high-$T$ limit for lattice specific heat (the Dulong–Petit value $3N R = 15\times R =124.7$ J$\cdot$K$^{-1}$$\cdot$mol$^{-1}$). Figure 4(b) zooms in the $C(T)$ data below 15 K, and an upturn behavior is observed for all the samples below 6 K. In Fig. 4(c), a round peak appears at 1.3 K for the La-doped sample. As mentioned above, a similar ascribed to spin glass transition was observed in the parent compound Eu1121 at about 1.6 K. This specific anomaly in La-doped sample may come from the same origin, in agreement with the magnetoresistive measurement. Figure 4(d) shows the fitted results for the La-doped sample by the expression $C = \gamma T + \beta T^{3}$ as a representative, where $\gamma$ and $\beta$ are the coefficients of electron and phonon contributions, respectively. The fitting results for other samples are listed in Table 1. From the fitting results, we note that all the derived $\gamma$ values are larger than that of Eu1121 (73.3 mJ$\cdot$K$^{-2}$$\cdot$mol$^{-1}$).[9] Compared to undoped Eu1121, the carrier density at FS clearly increases in $Ln$-doped samples, which is probable part of the reason for the significantly enhanced $\gamma$. However, due to the presence of hybridization between the Eu-4$f$ and Bi-6$p$ orbitals in this system,[9] the reason for larger $\gamma$ upon $Ln$-doping may be complicated, which needs more investigations to figure out. Particularly, we should mention that $\gamma$ of the Nd-doped sample is comparable to that of the undoped Eu1121. We proposed that the smaller actual electron doping level than what is expected may be the origin for present phenomenon, similar as what was reported in NdBiS$_{2}$O$_{1-x}$F$_{x}$.[28] The fitting also gives the resultant Debye temperature, $\theta_{\rm D}=216$ K for Eu$_{0.5}$La$_{0.5}$BiS$_{2}$F. This value is reasonably between those of Eu1121 (201 K) and La-1121 (221 K),[9,15] which vice versa guarantee the reliability of the Sommerfeld parameter. In addition, we extract the contribution from magnetism ($C_{\rm m}$) by removing the electron and phonon contribution from the raw $C(T)$ data shown in Fig. 4(d) (left axis). As no magnetic ordering takes place, the magnetic contribution above 10 K is negligible. Thus we fit the $C(T)$ data in the temperature range of 10 K$\, < T < 19$ K by using the Debye $T^3$ law displayed above. Consequently, the magnetic entropy $S_{\rm m}$ can be calculated by integrating $C_{\rm m}/T$ over $T$. We find that $S_{\rm m}$ reaches 9 J$\cdot$K$^{-1}$$\cdot$mol$^{-1}$ at 15 K, basically consistent with the 50% of $R\ln(2S+1)$ ($S=7/2$ for Eu$^{2+}$). This manifests that the specific anomaly arises from magnetic contribution of Eu$^{2+}$ moments and all the Eu ions in Eu$_{0.5}$La$_{0.5}$BiS$_{2}$F are indeed divalent, as verified in the aforementioned susceptibility measurement.
Table 1. Superconducting transition temperature $T_{\rm c}$ determined from $\rho(T)$, effective moments $\mu_{\rm eff}$ for Eu ions and Weiss temperature $\theta_{_{\rm W}}$ derived from Curie–Weiss fitting, electron and phonon coefficient $\gamma_{0}$ and $\beta$ obtained from the zero-field specific heat data in Fig. 4, together with $\theta_{\rm D}$ derived from $\beta$ value.
$Ln$ $T_{\rm c}$ $\mu_{\rm eff}$/Eu$^{1}$ $\theta_{\rm W}$ $\gamma_{0}$ $\beta$ $\theta_{\rm D}$
(K) $\mu_{_{\rm B}}$ (K) (mJ$\cdot$K$^{-2}$$\cdot$mol$^{-1}$) (mJ$\cdot$K$^{-4}$$\cdot$mol$^{-1}$) (K)
La 2.82 7.96 2.12 110.8 0.97 216
Ce$^{[22]}$ 2.20 8.70 3.70 127.0 1.02 212
Pr 2.01 7.91 2.71 180.5 1.06 209
Nd 1.89 8.23 1.65 79.4 1.09 207
Sm 1.56 7.90 0.61 186.2 1.10 205
Eu$^{[9]}$ 0.40 7.20 2.17 73.3 1.19 201
Study from both theory and experiment indicates that charge carrier concentration plays a key role for SC in BiS$_{2}$-based materials. In our case, the substitution of 50% $Ln$ for Eu increases the carrier density to an optimal level, which is the main reason for the enhancement of SC. The greatly enhanced $\gamma_{0}$ values prove the fact that the carrier concentration has an obvious improvement through $Ln$-doping for Eu. Except for this, in-plane structure parameter is believed to be important for BiS$_{2}$-based superconductors.[29] Our magnetic susceptibility and capacity measurements support that the Eu ions in Eu$_{0.5} Ln_{0.5}$BiS$_{2}$F ($Ln$ = La, Ce, Pr, Nd, Sm) are basically divalent. This means that the change of electron carrier density are supposed to be similar for each $Ln$-doped sample theoretically. Thus the difference in $T_{\rm c}$ induced by various trivalent $Ln$-doping in our Eu$_{0.5} Ln_{0.5}$BiS$_{2}$F system may mostly come from the lattice distortion. Intuitively, if we note that while $a$ expands, both $c$ and $c/a$ have a remarkable shrinkage with increasing $Ln$ ionic radius. Firstly, the space between (Eu,$Ln$)F and BiS$_{2}$ layers becomes shorter, which implies that it will be easier to transfer charges from the conduction (Eu,$Ln$)F layer into the superconducting BiS$_{2}$ layer. This leads to a higher $T_{\rm c}$. Secondly, the whole consequence of the incorporation of $Ln$ with increasing radius for the crystal structure is equivalent to depress the lattice in $c$ direction, which indicates the enhancement of in-plane chemical pressure. The similar phenomenon was also observed in NdBiS$_{2}$O$_{1-x}$F$_{x}$, where $c$-axis length markedly decreases accompanied by the increase in $T_{\rm c}$ upon F-doping.[30] However, the situation may be more complicated due to the presence of hybridization between the Eu-4$f$ and Bi-6$p$ orbitals, as demonstrated in earlier first-principles calculations on EuBiS$_{2}$F.[9] The incorporation of $Ln$ into EuBiS$_{2}$F system may shift the Fermi level a little, and the hybridization between Eu-4$f$ and Bi-6$p$ orbitals weakens considering Eu-diluted effect. In the meantime, the overlap between Bi and S1 orbitals may be promoted through $c$ axis shortage, which account for the change in $T_{\rm c}$. From this point of view, the picture here resembles what was observed in La-1121 under pressure before structure transition occurs.[31]
We should also mention that the CDW-like instability appearing in the parent Eu1121 becomes indistinguishable after this $Ln$-substitution for Eu. From the results of its analogous compounds, Se-doped Eu$_{3}$Bi$_{2}$S$_{4}$F$_{4}$, this CDW-like anomaly most likely competes with SC.[23] Thus the disappearance of CDW-like transition in our case may have some relations with the increase of $T_{\rm c}$. Nevertheless, based on the present measurements, we cannot exclude the possibility that the CDW-like transition, if it still survives in $Ln$-doped samples, is masked by the dominant semi-conducting signal. More sensitive and microscopic techniques, e.g., Raman scattering and scanning tunneling microscopy experiments are required to solve this problem. Nevertheless, further investigations, structure analysis and Fermi surface measurement for instance, are required for a better and clearer understanding of the change of $T_{\rm c}$ after various $Ln$-doping, and the intrinsic properties of superconductivity of Eu$_{0.5} Ln_{0.5}$BiS$_{2}$F compounds. In summary, polycrystalline samples of Eu$_{0.5} Ln_{0.5}$BiS$_{2}$F ($Ln$ = La, Ce, Pr, Nd, Sm) are synthesized by solid state reaction and characterized by powder XRD. In contrast to the parent compound Eu1121, all the doped samples show semiconducting-like behavior with the decreasing temperature before SC sets in. As $Ln$ is changed from Sm to Nd, Pr, Ce and then La, $T_{\rm c}$ increases monotonically. For Eu$_{0.5}$La$_{0.5}$BiS$_{2}$F, $T_{\rm c}$ reaches 2.8 K, 9 times higher than that of Eu1121. Susceptibility measurement on La-doped sample suggests that all the Eu ions remain divalent while electrons doped into BiS$_{2}$ bilayers come from trivalent La ions. Further specific heat measurement indicates that the Eu$^{2+}$ ions are non-ordered and experience a spin glass transition below 1.3 K. The calculation of magnetic entropy also confirms the idea that all the Eu ions in La-doped sample are actually divalent. Our study on rare-earth-doped Eu1121 reveal that not only higher $T_{\rm c}$ can be achieved by optimal doping but some intriguing properties can be found in BiS$_{2}$-based superconductors.
References BiS 2 -based layered superconductor Bi 4 O 4 S 3 Superconductivity in Novel BiS 2 -Based Layered Superconductor LaO 1- x F x BiS 2Superconductivity appears in the vicinity of semiconducting-like behavior in CeO 1 x F x BiS 2 Synthesis and Superconductivity of New BiS2 Based Superconductor PrO0.5F0.5BiS2New Member of BiS 2 -Based Superconductor NdO 1- x F x BiS 2Superconductivity of F-substituted Ln OBiS 2 ( Ln =La, Ce, Pr, Nd, Yb) compoundsSuperconductivity induced by La doping in Sr 1 x La x FBiS 2 Superconductivity in a new layered bismuth oxyselenide: LaO 0.5 F 0.5 BiSe 2Possible charge-density wave, superconductivity, and f -electron valence instability in EuBiS 2 F Anomalous Eu Valence State and Superconductivity in Undoped Eu 3 Bi 2 S 4 F 4Superconductivity in Layered Oxychalcogenide La 2 O 2 Bi 3 AgS 6Electron-phonon superconductivity near charge-density-wave instability in LaO 0.5 F 0.5 BiS 2 : Density-functional calculationsPhonon spectra and superconductivity of the BiS 2 -based compounds LaO 1−x F x BiS 2Ferroelectric soft phonons, charge density wave instability, and strong electron-phonon coupling in BiS 2 layered superconductors: A first-principles studySuperconductivity induced by electron doping in La 1 x M x OBiS 2 ( M = Ti, Zr, Hf, Th)Pressure enhanced superconductivity at 10 K in La doped EuBiS 2 FBulk Superconductivity Induced by In-Plane Chemical Pressure Effect in Eu 0.5 La 0.5 FBiS 2− x Se x Appearance of bulk superconductivity under hydrostatic pressure in Sr 0.5 RE 0.5 FBiS 2 (RE = Ce, Nd, Pr, and Sm) compoundsMinimal electronic models for superconducting BiS 2 layersElectronic phase diagram in a new BiS 2 -based Sr 1−x La x FBiS 2 systemCoexistence of superconductivity and complex 4 f magnetism in Eu 0.5 Ce 0.5 BiS 2 FEvidence for two distinct superconducting phases in EuBiS 2 F under pressureSuperconductivity enhanced by Se doping in Eu 3 Bi 2 (S,Se) 4 F 4Anisotropic upper critical field of the BiS 2 -based superconductor LaO 0.5 F 0.5 BiS 2 Evolution of Eu valence and superconductivity in layered Eu 0.5 La 0.5 FBiS 2 x Se x systemPressure-Induced Superconductivity in BiS 2 -Based EuFBiS 2Coexistence of superconductivity and ferromagnetism in Sr 0.5 Ce 0.5 FBiS 2 Observation of anomalous temperature dependence of spectrum on small Fermi surfaces in a BiS 2 -based superconductorIn-plane chemical pressure essential for superconductivity in BiCh2-based (Ch: S, Se) layered structureAnomalous Transport Properties in BiS 2 -based Superconductors Ln O 1− x F x BiS 2 ( Ln = Nd, La-Sm)Pressure-induced enhancement of superconductivity and suppression of semiconducting behavior in L n O 0.5 F 0.5 BiS 2 ( L n = La ,Ce) compounds
[1] Mizuguchi Y, Fujihisa H, Gotoh Y, Suzuki K, Usui H, Kuroki K, Demura S, Takano Y, Izawa H and Miura O 2012 Phys. Rev. B 86 220510(R)
[2] Mizuguchi Y, Demura S, Deguchi K, Takano Y, Fujihisa H, Gotoh Y, Izawa H and Miura O 2012 J. Phys. Soc. Jpn. 81 114725
[3] Xing J, Li S, Ding X, Yang H and Wen H H 2012 Phys. Rev. B 86 214518
[4] Jha R, Kumar A, Singh S K and Awana V P S 2013 J. Supercond. Novel Magn. 26 499
[5] Demura S, Mizuguchi Y, Deguchi K, Okazaki H, Hara H, Watanabe T, Denholme S J, Fujioka M, Ozaki T, Fujihisa H, Gotoh Y, Miura O, Yamaguchi T, Takeya H and Takano Y 2013 J. Phys. Soc. Jpn. 82 033708
[6] Yazici D, Huang K, White B D, Chang A H, Friedman A J and Maple M B 2013 Philos. Mag. 93 673
[7] Lin X, Ni X X, Chen B, Xu X F, Yang X X, Dai J H, Li Y K, Yang X J, Luo Y K, Tao Q, Cao G H and Xu Z A 2013 Phys. Rev. B 87 020504
[8] Krzton-Maziopa A, Guguchia Z, Pomjakushina E, Pomjakushin V, Khasanov R, Luetkens H, Biswas P K, Amato A, Keller H and Conder K 2014 J. Phys.: Condens. Matter 26 215702
[9] Zhai H F, Tang Z T, Jiang H, Xu K, Zhang K, Zhang P, Bao J K, Sun Y L, Jiao W H, Nowik I, Felner I, Li Y K, Xu X F, Tao Q, Feng C M, Xu Z A and Cao G H 2014 Phys. Rev. B 90 064518
[10] Zhai H F, Zhang P, Wu S Q, He C Y, Tang Z T, Jiang H, Sun Y L, Bao J K, Nowik I, Felner I, Zeng Y W, Li Y K, Xu X F, Tao Q, Xu Z A and Cao G H 2014 J. Am. Chem. Soc. 136 15386
[11] Jha R, Goto Y, Higashinaka R, Matsuda T D, Aoki Y and Mizuguchi Y 2018 J. Phys. Soc. Jpn. 87 083704
[12] Wan X G, Ding H C, Savrasov S Y and Duan C G 2013 Phys. Rev. B 87 115124
[13] Li B, Xing Z W and Huang G Q 2013 Europhys. Lett. 101 47002
[14] Yildirim T 2013 Phys. Rev. B 87 020506(R)
[15] Yazici D, Huang K, White B D, Jeon I, Burnett V W, Friedman A J, Lum I K, Nallaiyan M, Spagna S and Maple M B 2013 Phys. Rev. B 87 174512
[16] Thakur G S, Jha R, Haque Z, Awana V P S, Gupta L C and Ganguli A K 2015 Supercond. Sci. Technol. 28 115010
[17] Jinno G, Jha R, Yamada A, Higashinaka R, Matsuda D T, Aoki Y, Nagao M, Miura O and Mizuguchi Y 2016 J. Phys. Soc. Jpn. 85 124708
[18] Guo C Y, Chen Y, Smidman M, Chen S A, Jiang W B, Zhai H F, Wang Y F, Cao G H, Chen J M, Lu X and Yuan H Q 2015 J. Appl. Phys. 117 013901
[19] Usui H, Suzuki K and Kuroki K 2012 Phys. Rev. B 86 220501
[20] Li Y K, Lin X, Li L, Zhou N, Xu X F, Cao C, Dai J H, Zhang L, Luo Y K, Jiao W H, Tao Q, Cao G H and Xu Z A 2014 Supercond. Sci. Technol. 27 035009
[21] Zhai H F, Zhang P, Tang Z T, Bao J K, Jiang H, Feng C M, Xu Z A and Cao G H 2015 J. Phys.: Condens. Matter 27 385701
[22] Jha R, Tiwari B and Awana V P S 2015 Phys. Rev. B 91 214512
[23] Zhang P, Zhai H F, Tang Z J, Li L, Li Y K, Chen Q, Chen J, Wang Z, Feng C M, Cao G H and Xu Z A 2015 Europhys. Lett. 111 27002
[24] Yoshikazu M, Atsushi M, Kazuto A, Masashi T, Joe K and Osuke M 2014 Phys. Rev. B 89 174515
[25] Mizuguchi Y, Paris E, Wakita T, Jinno G, Puri A, Terashima K, Joseph B, Miura O, Yokoya T and Saini N L 2017 Phys. Rev. B 95 064515
[26] Suzuki K, Tanaka M, Denholme S J, Fujioka M, Yamaguchi T, Takeya H and Takano Y 2015 J. Phys. Soc. Jpn. 84 115003
[27] Lin L, Yuke L, Yuefeng J, Haoran H, Bin C, Xiaofeng X, Jianhui D, Li Z, Xiaojun Y, Huifei Z, Guanghan C and Zhuan X 2015 Phys. Rev. B 91 014508
[28] Zeng L K, Wang X B, Ma J, Richard P, Nie S M, Weng H M, Wang N L, Wang Z, Qian T and Ding H 2014 Phys. Rev. B 90 054512
[29] Mizuguchi Y, Miura A, Kajitani J, Hiroi T, Miura O, Tadanaga K, Kumada N, Magome E, Moriyoshi C and Kuroiwa Y 2015 Sci. Rep. 5 14968
[30] Iwasaki S, Kawai Y, Takahashi S, Suda T, Wang Y, Koshino Y, Ogura F, Shibayama Y, Kurosawa T, Oda M, Ido M and Momono N 2019 J. Phys. Soc. Jpn. 88 041005
[31] Wolowiec C T, Yazici D, White B D, Huang K and Maple M B 2013 Phys. Rev. B 88 064503