Chinese Physics Letters, 2020, Vol. 37, No. 10, Article code 107502 Tuning of the Magnetic Damping Parameter by Varying Cr Composition in Fe$_{1-x}$Cr$_x$ Alloy Mao Yang (杨茂)1,2†, Xianyang Lu (陆显扬)1†, Bo Liu (刘波)1, Xuezhong Ruan (阮学忠)1*, Junran Zhang (张军然)1, Xiaoqian Zhang (张晓倩)1, Dawei Huang (黄大威)1, Jing Wu (吴竞)3, Jun Du (杜军)4, Bo Liu (刘波)5, Hao Meng (孟皓)5, Liang He (何亮)1*, and Yongbing Xu (徐永兵)1,3* Affiliations 1Jiangsu Provincial Key Laboratory of Nanotechnology, School of Electronics Science and Engineering, Nanjing University, Nanjing 210093, China 2College of Physics and Electronic Information, Luoyang Normal University, Luoyang 471022, China 3York-Nanjing International Joint Center in Spintronics, Departments of Electronics and Physics, University of York, York YO10 5DD, UK 4Department of Physics, Nanjing University, Nanjing 210093, China 5Key Laboratory of Spintronics Materials, Devices and Systems of Zhejiang Province, 9 Lixin Road, Linan, Hangzhou 311300, China Received 16 May 2020; accepted 11 August 2020; published online 29 September 2020 Supported by the National Key Research and Development Program of China (Grant No. 2016YFA0300803), the National Natural Science Foundation of China (Grant Nos. 61427812 and 11774160), the Natural Science Foundation of Jiangsu Province of China (Grant No. BK20192006), the Fundamental Research Funds for the Central Universities (Grant No. 021014380113), and the Program for New Century Excellent Talents in Universities of Ministry of Education of China (Grant No. NCET-13-0094).
Mao Yang and Xianyang Lu contributed equally to this work.
*Corresponding authors. Email: xzruan@nju.edu.cn; heliang@nju.edu.cn; ybxu@nju.edu.cn
Citation Text: Yang M, Lu X Y, Liu B, Ruan X Z and Zhang J R et al. 2020 Chin. Phys. Lett. 37 107502    Abstract We investigate the magnetic damping parameter of Fe$_{1-x}$Cr$_x$ thin films using the time-resolved magneto-optical Kerr effect technique. It is demonstrated that the overall effective damping parameter is enhanced with the increasing Cr concentration. The effective damping at high field $\alpha_{0}$ is found to be significantly enhanced when increasing the Cr concentration with the $\alpha_{0}=0.159$ in the Fe$_{45}$Cr$_{55}$ enhanced by 562% compared with that of $\alpha_{0}=0.024$ in the pure Fe film. This study provides a new approach of controlling the effective damping parameter with a desired magnitude via varying Cr composition. DOI:10.1088/0256-307X/37/10/107502 PACS:75.78.-n, 75.47.Lx, 75.30.Ds © 2020 Chinese Physics Society Article Text Since the discovery of ultrafast demagnetization in nickel thin films,[1] the magnetization reversal process in pico/subpico second time scale has attracted great interests as the reversal speed is important for high-speed information recording[2,3] and other novel spintronic devices. Phenomenologically, the magnetization dynamics process can be described by the well-known Landau–Lifshitz–Gilbert (LLG) equation $$ \frac{d{\boldsymbol m}}{dt}=-\gamma({\boldsymbol m}\times{\boldsymbol H_{\rm eff}})+\alpha\Big({\boldsymbol m}\times\frac{d{\boldsymbol m}}{dt}\Big),~~ \tag {1} $$ where ${\boldsymbol m}$, ${\boldsymbol H_{\rm eff}}$, $\gamma$ and $\alpha$ are the unit vector of magnetization, the effective magnetic field, the gyromagnetic ratio and the dimensionless Gilbert damping parameter, respectively. The first term on the right-hand side of Eq. (1) is the effective magnetic field induced torque for magnetization precession, and the second term represents the magnetization damping torque which characterizes the macroscopic spin relaxation process. Obviously, the Gilbert damping parameter $\alpha$ is very crucial for this equation and many relaxation properties can be determined by its specific value. For example, $\alpha$ determines the spin relaxation time by $\tau=1/(\alpha\cdot2\pi f)$ with a precession frequency $f$ and it also determines the critical current $J_{\rm C0}$ in spin transfer torque magnetic random access memory (STT-MRAM).[4–7] At the same time, a higher damping is expected to lead to faster magnetization switching for both magnetic recording and MRAM operations.[8–10] Therefore, a controllable Gilbert damping parameter $\alpha$ becomes a critical issue for various technical applications. For the underlying physical mechanism of Gilbert damping $\alpha$, it can be ascribed to the dissipation of magnetic energy and consists of both intrinsic and extrinsic contributions.[11–19] The intrinsic terms originates from the electronic transitions induced by spin-orbit interaction and can be described by $\alpha\propto\zeta^{2}\cdot D(E_{\rm F})$,[14–16] where $\zeta$ and $D(E_{\rm F})$ are the spin-orbit interaction energy and the density of state at the Fermi surface, respectively. In comparison, the extrinsic term has several different origins such as the inhomogeneity, magnetic defects induced two magnon scattering,[16,17] spin pumping and spin sink caused nonlocal spin relaxation.[17–19] Although the spin dynamics process especially the Gilbert damping parameter in magnetic materials has been studied for a long time, it remains a major challenge to engineer a desired magnitude of damping parameter precisely by controlling its physical mechanism. Recent studies have shown the possibilities to change the intrinsic damping associated with spin-orbit coupling by using the heavy elements such as Pt.[15,20–23] The intrinsic and effective dampings in FeCo alloy were effectively tuned by the magnetic element Co concentration.[24] The effect of non-magnetic transition metals on the Gilbert damping is of practical importance.[25–27] Considering the coming ultrafast magnetic recording and the wide use of Cr as a doping element in current perpendicular magnetic recording media (e.g., CoCrPt),[28–32] here we report the effect of Cr composition on the damping parameter in the FeCr system. By means of time-resolved magneto-optical Kerr effect (TR-MOKE) measurements, we experimentally demonstrate the influence of Cr on the effective damping parameter $\alpha$ and the possibility to control this parameter by its concentration. By manipulating the strength of the external magnetic field $H$, the effective Gilbert damping parameter $\alpha$ shows a strong magnetic field dependent behavior, revealing two-magnon scattering related extrinsic damping character. The overall Cr doping induced damping enhancement can be attributed to an extrinsic two-magnon scattering mechanism. We have found that the effective damping at high field $\alpha_{0}$ can be enhanced significantly up to 562% with the increase of the Cr concentration.
cpl-37-10-107502-fig1.png
Fig. 1. [(a),(b)] The surface quality measured by AFM and the element distribution of Cr and Fe characterized by EDX. (c) Fundamental magnetic measurements of in-plane and out-of-plane hysteresis loops for Fe$_{64}$Cr$_{36}$. The upper inset shows the magnetization saturation as a function of Cr concentration while the lower inset shows the Cr concentration dependent perpendicular saturation field ($H_{\rm S}$). (d) Schematic illustration of the TR-MOKE geometry.
Polycrystalline Fe$_{1-x}$Cr$_{x}$ thin films in thickness ${10}$ nm were prepared by co-sputtering technique at room temperature on Si(100) substrates in an ultra-high vacuum magnetron sputtering system. Before getting into the chamber, the substrates were clean by a standard two-step ultrasonic washing with acetone and alcohol, respectively. During the sample deposition process, the base pressure of the equipment was lower than $8.0\times10^{-6}$ Pa and the Ar working pressure was kept at ${0.3}$ Pa. The Cr content was tuned by controlling the powers of the Fe and Cr targets. The growth rate of each target is carefully calibrated by the profilometer and the crystal oscillator. The thickness of the Fe$_{1-x}$Cr$_x$ films are about 10 nm. A ${5}$ nm layer and then a ${3}$ nm layer of Ta were grown as the buffer and cap layers, respectively. To evaluate the Fe$_{1-x}$Cr$_{x}$ thin film quality, an atomic force microscope (AFM) and an element resolved energy dispersive x-ray diffractometer (EDX) were used to check their surface morphology and elemental homogeneity as shown in Figs. 1(a) and 1(b). It is shown that the film has a roughness of about ${0.116}$ nm in a $1\times1\,µ$m$^2$ range. Overall, both the Cr and Fe elements distribute uniformly, while we could not exclude the possibility of nona-scale clusters of Cr or Fe. To acquire the magnetization reversal behavior and its corecivity, standard in-plane and out of plane magnetic hysteresis ($M$–$H$) loops were measured by a vibrating sample magnetometer (VSM). Figure 1(c) shows the corresponding results for the film of Fe$_{64}$Cr$_{36}$. It is clear that the film exhibits a typical in-plane easy magnetization behavior, i.e., the in-plane coercivity and saturation field $H_{\rm S}$ in the perpendicular direction are about ${30}$ Oe and ${15}$ kOe, respectively. The inset represents the Cr concentration dependent saturation field $H_{\rm S}$ in the perpendicular direction. With the increase of Cr concentration, the saturation field $H_{\rm S}$ decreases monotonously. TR-MOKE measurements were performed by a standard all optical pump-probe technique. With a typical all optical pump-probe technique, ultrafast magnetization dynamics process was investigated via time-resolved magneto-optical Kerr effect (TR-MOKE) measurements. Figure 1(d) shows the geometry configuration of TR-MOKE. A ${800}$-nm Ti:sapphire laser system is used to generate ultrashort laser pulses with a time duration of ${50}$ fs and a repetition rate of ${1}$ kHz and then is split into pump and probe beams. The pump beam is optically modulated at ${0.333}$ kHz by a chopper and is focused into a spot size of ${400}\,µ$m diameter on sample surface. The probe beam travels through an mechanical delay line, frequency doubled into ${400}$ nm, linearly polarized, focused into a spot size of ${200}\,µ$m on the pumped area. The probe response is detected with a lock-in amplifier at the chopper frequency. Since the signal is more sensitive to the out-of-plane component magnetization, a variable magnetic field up to ${6000}$ Oe was applied with a fixed polar angle of about $\theta_{H}=68^{\circ}$ with respect to the film normal direction. Figures 2(a) and 2(b) show the results of typical TR-MOKE curves, i.e., real-space magnetization trajectory in time domain, for the films of Fe$_{1-x}$Cr$_x$ with $x=0\%$ and $55\%$ under various strengths of external magnetic field (554–5842 Oe). For each of the curves, the Kerr signal oscillates with a special frequency, indicating the magnetization precession. Meanwhile, the precession amplitude decreases with the increase of delay time which exhibits the damping effect. More importantly, this magnetization oscillation curves vary significantly under different Cr concentrations, suggesting the changing of magnetic damping. For a clear understanding of the above oscillation and damping curves, these curves have been fitted by the following equation based on uniform magnetization procession: $$ \theta_{_{\rm K}}=a+b \exp(-t/t_{0})+A \exp(-t/\tau) \sin(\omega t+\phi_0),~~ \tag {2} $$ where $A$, $\tau$, $\omega$ and $\phi_0$ are the amplitude of oscillation, the relaxation time, the oscillation frequency and the initial phase of the oscillation, respectively; $a$, $b$ and $t_0$ are related to the background signal in the slow recovery process. This slow recovery mainly originates from the thermal relaxation of the lattice upon laser heating. The solid lines in Fig. 2 are the fitted results by Eq. (2).
cpl-37-10-107502-fig2.png
Fig. 2. Typical TR-MOKE curves with different external magnetic field for (a) $x=0$ and (b) $x=55\%$ in Fe$_{1-x}$Cr$_{x}$ thin films. Solid lines are the fitted curves.
cpl-37-10-107502-fig3.png
Fig. 3. (a) Magnetization precession frequency and (b) relaxation time as a function of the external magnetic field with different Cr concentrations. (c) Extracted demagnetization field and (d) $g$ factor for different Cr concentrations.
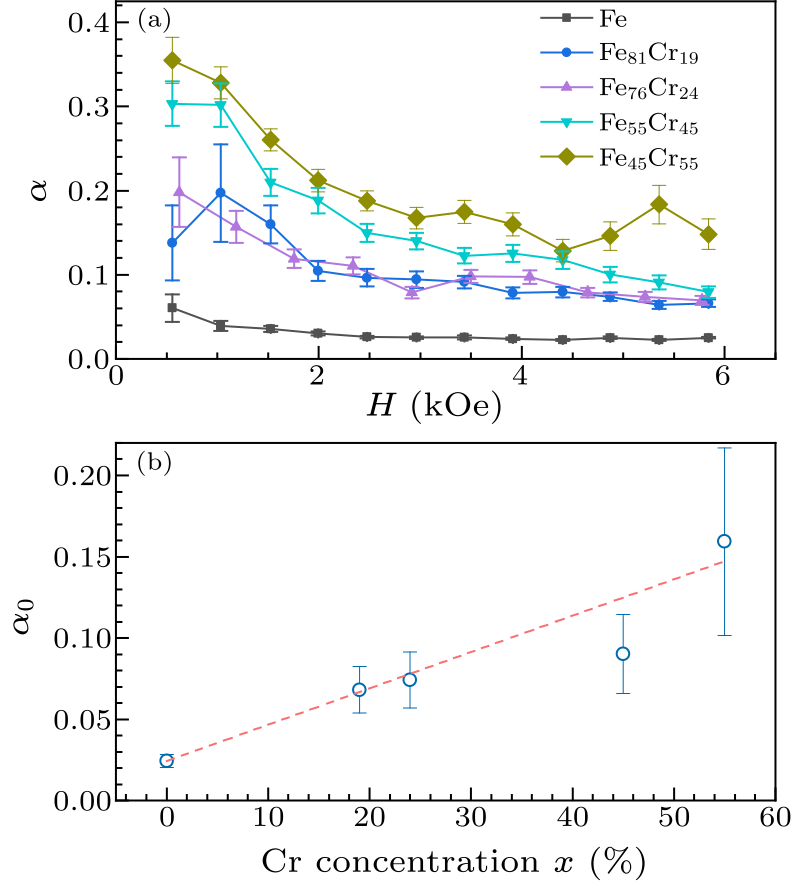
Figures 3(a) and 3(b) display the extracted oscillation frequency $f=\omega/2\pi$ and relaxation time $\tau$ versus the magnetic field with a series of different Cr concentrations $x$. As shown in Fig. 3(a), the oscillation frequency $f$ strongly depends on the external field and the Cr concentration. Overall, with the increase of magnetic field, the oscillation frequency increases synchronously. However, the detailed variation of $f$ vs $H$ exhibits strong Cr concentration dependent behavior. It is clear that, for a special magnetic field, the oscillation frequency $f$ decreases with the increase of Cr concentration. Therefore, the increasing concentration of Cr can decrease the oscillation frequency $f$. For the Cr concentration and magnetic field dependent precession frequency behavior, the relevant parameters have been fitted by the following relations based on linear approximation of the LLG equation:[33,34] $$\begin{align} f={}&\frac{\gamma}{2\pi}\sqrt{H_{1}H_{2}} ,~~ \tag {3} \end{align} $$ $$\begin{align} H_{1}={}&H\cos(\theta-\theta_{H})-4\pi M_{\rm eff}\cos(2\theta),~~ \tag {4} \end{align} $$ $$\begin{align} H_{2}={}&H\cos(\theta-\theta_{H})-4\pi M_{\rm eff}\cos^2\theta ,~~ \tag {5} \end{align} $$ where $\gamma=g\mu_{_{\rm B}}/\hbar$ is the gyromagnetic ratio, $H$ is the external magnetic field, $\theta$ and $\theta_{H}$ are the magnetization equilibrium angle and polar angle of the external field, respectively; $4\pi M_{\rm eff}$ is the effective demagnetization field and defined as $$ 4\pi M_{\rm eff}=4\pi M_{\rm S}-\frac{2K_{\perp}}{M_{\rm S}} $$ with $K_{\perp}$ being the perpendicular magnetic anisotropy. In addition, the magnetization equilibrium angle $\theta$ can be determined by the following equation: $$ H\sin(\theta-\theta_{H})-\frac{1}{2} 4\pi M_{\rm eff} \sin(2\theta)=0.~~ \tag {6} $$ The best fitted frequency curves as a function of applied field are plotted in solid line in Fig. 3(a), which are in good agreement with the measured frequency points. The extracted values of the effective demagnetization field $4\pi M_{\rm eff}$ and the Landé factor $g$ are shown in Figs. 3(c) and 3(d), respectively. The effective demagnetization field $4\pi M_{\rm eff}$ decreases linearly with the increasing Cr concentration, which is consistent with the trend of the magnetic saturation field shown in Fig. 1(c). This decrease of $4\pi M_{\rm eff}$ mainly comes from the change of perpendicular anisotropy, while the decrease of saturation magnetization may also play a role. The reason of the variation of the perpendicular anisotropy needs further investigation. The weaker ferromagnetism in the Fe$_{1-x}$Cr$_x$ thin films is mainly due to the filling of electron in the $3d$ band of Fe from Cr.[35,36] The Landé factor $g$, however, stays at the level of the free-electron value ($\sim$2.002) due to the weak spin-orbit coupling whether in Fe or Cr element. The variation of the $g$ factor may comes from the fitting error. Figure 3(b) shows the relaxation time $\tau$ as a function of magnetic field with different Cr concentrations. It is clear that the relaxation time shows a weak magnetic field dependent behavior. With the increase of magnetic field, the relaxation time $\tau$ decreases slightly for $x=0\%$, whereas it keeps nearly unchanged for $x\neq0\%$. In the meantime, the concentration of Cr can greatly influence the relaxation time. With increasing concentration of Cr element, the relaxation time decreases to a much lower level and this phenomenon is independent of the Cr concentration. The effective magnetic damping parameter $\alpha$ can be extracted from Figs. 3(a) and 3(b) by the relaxation $\alpha=1/2\pi f\tau$. As shown in Fig. 4(a), the effective damping parameter strongly depends on the external magnetic field and the Cr concentration. For a certain Cr concentration, with the increase of magnetic field, the effective damping parameter decreases from its initial value and gradually approaches its limiting value which is close to the intrinsic Gilbert damping value.[8,9] On the other hand, all the curves present clear Cr concentration dependent behavior, showing that the overall damping value becomes higher with the increasing Cr concentration. To understand these magnetic damping results, both intrinsic and extrinsic contributions are considered.
cpl-37-10-107502-fig4.png
Fig. 4. (a) Damping parameter as a function of external magnetic field with different Cr concentrations. (b) Intrinsic Gilbert damping of different Cr concentrations. The dashed line is a guide to the eyes.
The effective damping constant consists of intrinsic and extrinsic components and the extrinsic damping mainly comes from magnetic inhomogeneity or two-magnon scattering. Besides the uniform precession model (zero-order spin wave) usually takes place with the specific frequency and an identical phase, i.e., ${\boldsymbol k}\neq0$, the elementary excitation of spin wave, known as magnon, also carries angular momentum. Furthermore, the value of momentum and the precession frequency are correlated with each other by the dispersion relation. However, magnetic inhomogeneity can take place with increasing concentration of Cr element, which can induce an anti-ferromagnetic coupling state of the nearest spins. Then these magnetic defects would cause inevitable scattering effect to the magnons and this process should obey the conservation of angular momentum. Therefore, the traditional spin wave modes can be scattered and degenerate into other magnons (${\boldsymbol k}\neq0$) with the same frequency. In addition, this dephased spin wave can also induce the enhancement of Gilbert damping parameter. However, the extrinsic contribution only plays a role in the low field region because when the external field is very high the effect of magnetic inhomogeneity and two-magnon scattering will be negligible.[8,9] Therefore, the overall decreasing trend of the effective damping as a function of the external field can be attributed to the quenching of the extrinsic contribution. In high field region, however, the measured damping parameter will be close to the intrinsic damping value, which is independent of the extrinsic damping contribution. As shown in Fig. 4(a), the maximum external field we could obtained seems to be still not high enough to determine the intrinsic magnetic unambiguously. However, the effective magnetic damping at high field region corresponds to an upper-bound value of the intrinsic damping.[30] It is clear shown in Fig. 4(a) that the effective damping at high filed increases with the increasing Cr concentration. To quantitatively analyze the Cr concentration dependence of the damping value, we use the averaged value of the three measured damping parameters in the highest external field region as the $\alpha_{0}$,[4] which is plotted in Fig. 4(b) as a function of Cr concentration. The error bar is estimated to follow the error transfer relations. We note that the effective damping at high filed is significantly enhanced with the increasing Cr concentration in the Fe$_{1-x}$Cr$_{x}$ films. It is demonstrated that in FeCo alloys,[24] the intrinsic damping is proportional to the density of states at Fermi level.[37,38] In our case, the largely increased effective damping at high filed may also come from the tuning density of states at Fermi level, although we have used the Cr rather than the magnetic element. The $\alpha_{0}$ value of Fe$_{45}$Cr$_{55}$ ($\alpha_{0}=0.159$) is found to be 562% higher than that of pure Fe ($\alpha_{0}=0.024$), showing the effective tuning of the magnetic damping in Fe$_{1-x}$Cr$_{x}$ thin films by varying Cr composition. The extrinsic damping from the increasing two-magnon scattering effect may be another contribution to the increasing measured $\alpha_{0}$. It was reported that in Cr/Fe/GaAs heterostructures, the effective damping parameter can be largely enhanced due to the two-magnon scattering.[17] The magnetic layer shows large two-magnon scattering due to spatially inhomogeneous exchange bias when it is in contact with an antiferromagnetic layer. In our case, the antiferromagnetic Cr can also induce magnetic defect in the FeCr alloy films, which could introduce enhanced two-magnon scattering. Therefore, the increasing defect-induced two-magnon scattering effect may also contribute to the increasing damping value as a function of the Cr concentration. Nevertherless, the effect of the structure of FeCr alloy is worthy to be discussed. It was reported that the structure of Fe$_{1-x}$Cr$_{x}$ alloy can change as follows.[39] For a relatively low Cr content $0 < x < 0.32$), it is manly a bcc structure. in comparison, a $\alpha$ phase can be formed for a higher Cr content of $0.38 < x < 0.44$. For other Cr contents of $0.32 < x < 0.38$ and $0.44 < x < 0.54$, it can be composed of both bcc and $\alpha$ phases. In this case, if the structure of FeCr plays a major role on the magnetic damping, the damping factor would change discontinuously while the FeCr alloy is in $\alpha$ phase. However, our measured values of damping factor shows no obvious discontinuity with respect to the Cr content. This may be due to our measured range of $x$ not to be in the $\alpha$ phase. Therefore, the structure change here may not be a significant factor to influence the magnetic damping here, and further investigation is needed. In summary, we have investigated the ultrafast magnetization dynamics process in high-quality Fe$_{1-x}$Cr$_{x}$ ($0\leq x\leq55\%$) thin films grown by sputtering via TR-MOKE measurements. It is demonstrated that the magnetization precession process can be strongly influenced by varying the concentration of Cr. The effective damping at high filed is found to be significantly enhanced when increasing the Cr concentration with the damping constant of the Fe$_{45}$Cr$_{55}$ 562% higher than that of pure Fe. These results show that the magnetic damping parameter can be effectively tuned by the concentration of Cr, which would open a way to control the damping parameter via varying alloy composition for magnetic recording and MRAM applications.
References Ultrafast Spin Dynamics in Ferromagnetic NickelRoles of heating and helicity in ultrafast all-optical magnetization switching in TbFeCoUltrafast Magnetization Manipulation Using Single Femtosecond Light and Hot-Electron PulsesCurrent-driven excitation of magnetic multilayersCurrents and torques in metallic magnetic multilayersReducing the critical current for spin-transfer switching of perpendicularly magnetized nanomagnetsUltrafast Orbital‐Oriented Control of Magnetization in Half‐Metallic La 0.7 Sr 0.3 MnO 3 FilmsEnhancement of intrinsic magnetic damping in defect-free epitaxial Fe 3 O 4 thin filmsTransient enhancement of magnetization damping in CoFeB film via pulsed laser excitationLarge anisotropy of magnetic damping in ultrathin epitaxial Fe/GaAs (0 0 1) filmThe Influence of s-d Exchange on Relaxation of Magnons in MetalsOn ferromagnetic resonance damping in metalsDamping of spin dynamics in nanostructures: An ab initio studyLong-Lived Ultrafast Spin Precession in Manganese Alloys Films with a Large Perpendicular Magnetic AnisotropyQuadratic Scaling of Intrinsic Gilbert Damping with Spin-Orbital Coupling in L 1 0 FePdPt Films: Experiments and Ab Initio CalculationsMagnetization dynamics and Gilbert damping in a hybrid Fe/GaAs heterostructureTime Resolved Magnetization Dynamics of Ultrathin Fe(001) Films: Spin-Pumping and Two-Magnon ScatteringEnhanced Gilbert Damping in Thin Ferromagnetic FilmsIntrinsic and non-local Gilbert damping in polycrystalline nickel studied by Ti : sapphire laser fs spectroscopyInfluence of Pt Doping on Gilbert Damping in Permalloy Films and Comparison with the Perpendicularly Magnetized Alloy FilmsComponent manipulated magnetic anisotropy and damping in Heusler-like compound Co 2+ x Fe 1− x AlPt concentration dependence of the interfacial Dzyaloshinskii–Moriya interaction, the Gilbert damping parameter and the magnetic anisotropy in Py/Cu 1−x Pt x systemsLaser-Induced Magnetization Dynamics of Lanthanide-Doped Permalloy Thin FilmsUltra-low magnetic damping of a metallic ferromagnetTunable magnetization damping in transition metal ternary alloysControl of magnetization dynamics in Ni/sub 81/Fe/sub 19/ thin films through the use of rare-earth dopantsStructural and magnetic modifications of Cr-implanted PermalloyOrigins of the damping in perpendicular media: Three component ferromagnetic resonance linewidth in Co–Cr–Pt alloy filmsComparison of a near-field ferromagnetic resonance probe with pump-probe characterization of CoCrPt mediaLaser-Induced Fast Magnetization Precession and Gilbert Damping for CoCrPt Alloy Thin Films with Perpendicular Magnetic AnisotropyInfluence of intergranular exchange coupling on the magnetization dynamics of CoCrPt:SiO 2 granular mediaMicrostructural segregation in CoCrTa and CoCrPt longitudinal magnetic recording mediaEffect of spin diffusion on Gilbert damping for a very thin permalloy layer in Cu/permalloy/Cu/Pt filmsThe Study on Ferromagnetic Resonance Linewidth for NM/80NiFe/NM (NM=Cu, Ta, Pd and Pt) FilmsMagnetic and Structural Properties of FeCr AlloysMagnetic properties of a nanocrystalline σ-FeCr alloyLow damping constant for Co2FeAl Heusler alloy films and its correlation with density of statesEmergence of anisotropic Gilbert damping in ultrathin Fe layers on GaAs(001)Structural and magnetic studies of sputtered Fe[sub 1−x]Cr[sub x] thin films
[1] Beaurepaire E, Merle J, Daunois A and Bigot J 1996 Phys. Rev. Lett. 76 4250
[2] Lu X, Zou X, Hinzke D, Liu T, Wang Y, Cheng T, Wu J, Ostler T A, Cai J, Nowak U, Chantrell R W, Zhai Y and Xu Y 2018 Appl. Phys. Lett. 113 032405
[3] Xu Y, Deb M, Malinowski G, Hehn M, Zhao W and Mangin S 2017 Adv. Mater. 29 1703474
[4] Slonczewski J C 1996 J. Magn. Magn. Mater. 159 L1
[5] Slonczewski J C 2002 J. Magn. Magn. Mater. 247 324
[6] Mangin S, Henry Y, Ravelosona D, Katine J A and Fullerton E E 2009 Appl. Phys. Lett. 94 012502
[7] Liu B, Niu W, Chen Y, Ruan X, Tang Z, Wang X, Liu W, He L, Li Y, Wu J, Tang S, Du J, Zhang R and Xu Y 2019 Adv. Mater. 31 e1806443
[8] Lu X, Atkinson L J, Kuerbanjiang B, Liu B, Li G, Wang Y, Wang J, Ruan X, Wu J, Evans R F L, Lazarov V K, Chantrell R W and Xu Y 2019 Appl. Phys. Lett. 114 192406
[9] Liu B, Ruan X, Wu Z, Tu H, Du J, Wu J, Lu X, He L, Zhang R and Xu Y 2016 Appl. Phys. Lett. 109 042401
[10] Yang L, Yan Y, Chen Y, Chen Y, Liu B, Chen Z, Lu X, Wu J, He L, Ruan X, Liu B and Xu Y 2020 J. Phys. D 53 115004
[11] Heinrich B, Fraitová D and Kamberský V 1967 Phys. Status Solidi B 23 501
[12] Kamberský V 1976 Czech. J. Phys. B 26 1366
[13] Steiauf D and Fähnle M 2005 Phys. Rev. B 72 064450
[14] Mizukami S, Wu F, Sakuma A, Walowski J, Watanabe D, Kubota T, Zhang X, Naganuma H, Oogane M, Ando Y and Miyazaki T 2011 Phys. Rev. Lett. 106 117201
[15] He P, Ma X, Zhang J W, Zhao H B, Lupke G, Shi Z and Zhou S M 2013 Phys. Rev. Lett. 110 077203
[16] Gao H, Lu J, Zhao J and Zhang X 2014 Solid State Commun. 192 31
[17] Woltersdorf G, Buess M, Heinrich B and Back C H 2005 Phys. Rev. Lett. 95 037401
[18] Tserkovnyak Y, Brataas A and Bauer G E 2002 Phys. Rev. Lett. 88 117601
[19] Walowski J, Kaufmann M D, Lenk B, Hamann C, McCord J and Münzenberg M 2008 J. Phys. D 41 164016
[20] Mizukami S, Kubota T, Zhang X, Naganuma H, Oogane M, Ando Y and Miyazaki T 2011 Jpn. J. Appl. Phys. 50 103003
[21] Chen Z, Ruan X, Liu B, Yang L, Wu J, Gao C, Meng H, He L, Zhang R and Xu Y 2019 J. Phys.: Condens. Matter 31 075802
[22] Bouloussa H, Ramaswamy R, Roussigné Y, Stashkevich A, Yang H, Belmeguenai M and Chérif S M 2019 J. Phys. D 52 055001
[23] Radu I, Woltersdorf G, Kiessling M, Melnikov A, Bovensiepen U, Thiele J U and Back C 2009 Phys. Rev. Lett. 102 117201
[24] Schoen M A W, Thonig D, Schneider M L, Silva T J, Nembach H T, Eriksson O, Karis O and Shaw J M 2016 Nat. Phys. 12 839
[25] Ingvarsson S, Xiao G, Parkin S S P and Koch R H 2004 Appl. Phys. Lett. 85 4995
[26] Bailey W, Kabos P, Mancoff F and Russek S 2001 IEEE Trans. Magn. 37 1749
[27] Fassbender J, von Borany J, Mücklich A, Potzger K, Möller W, McCord J, Schultz L and Mattheis R 2006 Phys. Rev. B 73 184410
[28] Mo N, Hohlfeld J, ul Islam M, Brown C S, Girt E, Krivosik P, Tong W, Rebei A and Patton C E 2008 Appl. Phys. Lett. 92 022506
[29] Clinton T W, Benatmane N, Hohlfeld J and Girt E 2008 J. Appl. Phys. 103 07f546
[30] Mizukami S, Watanabe D, Kubota T, Zhang X, Naganuma H, Oogane M, Ando Y and Miyazaki T 2010 Appl. Phys. Express 3 123001
[31] Brandt R, Tibus S, Springer F, Fassbender J, Rohrmann H, Albrecht M and Schmidt H 2012 J. Appl. Phys. 112 033918
[32] Inaba N, Yamamoto T, Hosoe Y and Futamoto M 1997 J. Magn. Magn. Mater. 168 222
[33] Mizukami S, Ando Y and Miyazaki T 2002 Phys. Rev. B 66 104413
[34] Mizukami S, Ando Y and Miyazaki T 2001 Jpn. J. Appl. Phys. 40 580
[35] Froideval A, Iglesias R, Samaras M, Schuppler S, Nagel P, Grolimund D, Victoria M and Hoffelner W 2007 Phys. Rev. Lett. 99 237201
[36] Cieślak J, Costa B F O, Dubiel S M, Reissner M and Steiner W 2005 J. Phys.: Condens. Matter 17 2985
[37] Mizukami S, Watanabe D, Oogane M, Ando Y, Miura Y, Shirai M and Miyazaki T 2009 J. Appl. Phys. 105 07D306
[38] Chen L, Mankovsky S, Wimmer S, Schoen M A W, Korner H S, Kronseder M, Schuh D, Bougeard D, Ebert H, Weiss D and Back C H 2018 Nat. Phys. 14 490
[39] Duc N H, Fnidiki A, Teillet J, Youssef J B and Le Gall H 2000 J. Appl. Phys. 88 4778