Chinese Physics Letters, 2019, Vol. 36, No. 7, Article code 077101 Magneto-Transport and Shubnikov–de Haas Oscillations in the Type-II Weyl Semimetal Candidate NbIrTe$_{4}$ Flake * Xiang-Wei Huang (黄祥威)1†, Xiao-Xiong Liu (刘晓雄)2†, Peng Yu (于鹏)3†, Pei-Ling Li (李沛岭)1,4, Jian Cui (崔健)1, Jian Yi (易剑)5, Jian-Bo Deng (邓剑波)2, Jie Fan (樊洁)1,6, Zhong-Qing Ji (姬忠庆)1,6, Fan-Ming Qu (屈凡明)1,6, Xiu-Nian Jing (景秀年)1,7, Chang-Li Yang (杨昌黎)1,7, Li Lu (吕力)1,7, Zheng Liu (刘政)3**, Guang-Tong Liu (刘广同)1,6** Affiliations 1Beijing National Laboratory for Condensed Matter Physics, Institute of Physics, Chinese Academy of Sciences, Beijing 100190 2Department of Physics, Lanzhou University, Lanzhou 730000 3Centre for Programmable Materials, School of Materials Science and Engineering, Nanyang Technological University, Singapore 639798, Singapore 4University of Chinese Academy of Sciences, Beijing 100049 5Ningbo Institute of Industrial Technology, Chinese Academy of Sciences, Ningbo 315201 6Songshan Lake Materials Laboratory, Dongguan 523808 7Collaborative Innovation Center of Quantum Matter, Beijing 100871 Received 13 May 2019, online 20 June 2019 *Supported by the National Basic Research Program of China under Grant Nos 2015CB921101 and 2016YFA0300600, the National Natural Science Foundation of China under Grant No 11874406, the Singapore National Research Foundation under Grant No NRF-NRFF2013-08, the Tier 2 MOE2016-T2-2-153, and the A*Star QTE Programme.
Xiang-Wei Huang, Xiao-Xiong Liu and Peng Yu contributed equally to this work.
**Corresponding authors. Email: gtliu@iphy.ac.cn; z.liu@ntu.edu.sg
Citation Text: Huang X W, Liu X X, Yu P, Li P L and Cui J et al 2019 Chin. Phys. Lett. 36 077101    Abstract We report on magnetoresistance, Hall effect, and quantum Shubnikov–de Haas oscillation (SdH) experiments in NbIrTe$_4$ single crystals, which was recently predicted to be a type-II Weyl semimetal. NbIrTe$_4$ manifests a non-saturating and parabolic magnetoresistance at low temperatures. The magneto-transport measurements show that NbIrTe$_4$ is a multiband system. The analysis of the SdH oscillations reveals four distinct oscillation frequencies. Combined with the density-functional theory calculations, we show that they come from two types of Fermi surfaces: electron pocket E$_1$ and hole pocket H$_2$. DOI:10.1088/0256-307X/36/7/077101 PACS:71.18.+y, 71.20.Be © 2019 Chinese Physics Society Article Text The recently discovered Weyl semimetals (WSMs) have attracted much attention in condensed matter physics.[1] WSMs are three-dimensional materials whose band structure has a pair of bands crossing at certain points (called Weyl nodes) in the Brillouin zone. When the Fermi energy ($E_{\rm F}$) is near these Weyl nodes, electrons have a relativistic dispersion relation and carry a definite chirality, which resembles the massless Weyl fermions that are well known in high-energy physics. These materials have been recently predicted in theory[1–8] and confirmed by numerous experiments.[9–15] According to the band structure calculations,[6] Weyl fermions can be classified into two types. Type-I Weyl fermions have been realized in the TaAs family,[9–11,16] which have the typical conical dispersion and respect Lorentz symmetry. On the other hand, type-II Weyl fermions appear in a tilted-over cone in energy-momentum space and violate Lorentz symmetry. The Lorentz-violating Weyl fermions can lead to numerous exotic physical properties, such as a direction-dependent chiral anomaly,[17] an antichiral effect of the chiral Landau level,[18] novel quantum oscillations due to momentum-space Klein tunneling,[19] and a modified anomalous Hall conductivity.[20] Recently, type-II Weyl fermions have been found in layered transition-metal dichalcogenides (TMDCs)[7,12,14,21–23] including WTe$_2$, MoTe$_2$, and TaIrTe$_4$. The layered nature of these compounds can facilitate device fabrication, which makes them an ideal platform for the realization of novel Weyl semimetal applications.[24] For example, tunable superconductivity[25] and nonlinear Hall effects from Berry curvature[26] have been observed in WTe$_2$ by gate-tuning. Since NbIrTe$_4$ has the same structure as that of TaIrTe$_4$,[27] the identification of type-II Weyl fermions in TaIrTe$_4$ makes NbIrTe$_4$ another promising type-II Weyl semimetal candidate. Recently, the density-function theory (DFT) calculations[28] predict that NbIrTe$_4$ hosts 8 Weyl points in the $k_{z}=0$ plane without considering the spin-orbit coupling (SOC) and 16 Weyl points in the whole Brillouin zone after including SOC. Therefore, it is interesting to perform transport studies in NbIrTe$_4$. Here we report low-temperature magneto-transport results on NbIrTe$_4$ single crystals. The non-saturating magnetoresistance is found to be anisotropic and strongly depends on the specific crystal directions. The magneto-transport measurements show that NbIrTe$_4$ is a multiband system. The analysis of angular SdH oscillations, combined with the DFT calculations, points out that the low-temperature transport is dominated by one corrugated cylindrical electron pocket E$_{1}$ and one hole pocket H$_{2}$. NbIrTe$_4$ shares the space group ($Pmn21$) with WTe$_2$, MoTe$_2$, and TaIrTe$_4$. As shown in Fig. 1(a), the Nb and Ir atoms in NbIrTe$_4$ are octahedral coordinated by Te atoms and form zigzag metal chains extending along the $a$-axis direction. These chains hybridize with each other along the $b$-axis direction and form a conducting $ab$ plane. In this study, NbIrTe$_4$ single crystals were synthesized by high-temperature solid-state reaction with the help of Te flux. The elements of Nb powder (99.99%), Ir powder (99.999%), and Te lump (99.999%) with an atomic ratio of Nb/Ir/Te=1:1:10, purchased from Sigma-Aldrich (Singapore), were loaded in a quartz tube and then flame-sealed under high-vacuum of $10^{-6}$ torr. The quartz tube was placed in a tube furnace, slowly heated up to 1000$^{\circ}\!$C and held for 100 h, and then allowed to cool to 600$^{\circ}\!$C at a rate of 1.0$^{\circ}\!$C/h, followed by cooling down to room temperature. The shiny, needle-shaped NbIrTe$_4$ single crystals can be obtained from the product, which display the layered structure. The inset of Fig. 1(b) displays a typically exfoliated piece of NbIrTe$_4$ single crystal with dimensions of 3.0$\times$1.0$\times$0.02 mm$^3$. Figure 1(b) shows the x-ray diffraction (XRD) pattern of a typical NbIrTe$_4$ single crystal performed on a Bruker Apex II diffractometer operating with Cu K$\alpha$ radiation at room temperature. Only (00$l$) ($l=2, 4,\ldots$) peaks can be observed in the XRD pattern with no impurity phases.
cpl-36-7-077101-fig1.png
Fig. 1. (a) Layered crystal structure of NbIrTe$_4$. (b) Room-temperature x-ray diffraction (XRD) pattern of NbIrTe$_4$ single crystals. Inset: single crystals against the 1.0 mm scale. (c) Temperature dependence of the zero-field longitudinal resistivity $\rho_{xx}$ and Hall coefficient $R_{\rm H}$ represented by the solid red and blues lines, respectively. Inset: optical image of a typical 100-nm-thick NbIrTe$_4$ device. (d) Calculated Fermi surfaces at $E_{\rm F}=0$ meV. The pockets ${\rm H}_1$ and ${\rm H}_2$ denote the inner and outer hole pockets. The pockets ${\rm E}_1$ and ${\rm E}_2$ are corrugated cylindrical electron pockets.
The Hall bar geometry is employed in this study to reduce the effect of the inhomogeneous current distribution. The Hall bars are patterned on 100-nm-thick NbIrTe$_4$ exfoliated from its bulk counterpart using E-beam lithography (EBL). The Ti/Au (5/110 nm) electrodes are deposited using an e-beam evaporator followed by a lift-off procedure. Before the metal deposition, the samples are etched by argon plasma to remove the residual photoresist. The Ti layer is used as an adhesion layer between the Au layer and the sample. The inset of Fig. 1(c) shows a typical Hall-bar device (sample S1) used in our transport measurements. The longitudinal resistivity and Hall measurements were carried out using the conventional four-probe method performed on a top-loading helium-3 refrigerator with a 15 T superconducting magnet. The data at high magnetic fields up to 38 T were collected on the Steady High Magnetic Field Facilities, High Magnetic Field Laboratory, CAS. In the measurement, an ac excitation current $I_{\rm ac}=100$ µA at 30.9 Hz was always applied parallel to the (001) plane along the $a$-axis in our studies. Then another two lock-in amplifiers were used to monitor the longitudinal resistivity $\rho_{xx}$ and Hall resistivity $\rho_{xy}$ through additional electrical contacts, respectively. Angular-dependent measurements were facilitated by an in situ home-made sample rotator. Figure 1(c) shows the temperature dependence of the longitudinal resistivity $\rho_{xx}(T)$ in zero magnetic field and Hall coefficient $R_{\rm H} (T)$ denoted by the solid black and blue lines, respectively. It is clear that NbIrTe$_4$ shows a metallic behavior with $d\rho/dT>0$. At $T=2$ K, the sample gets a residual resistance ratio RRR$=\rho$(300 ${\rm K})/\rho$(2 ${\rm K})\approx 24$, close to that observed in TaIrTe$_4$.[22] However, as the temperature decreases from 300 K to 2 K, the sign of $R_{\rm H} (T)$ changes from positive to negative around 67 K, indicating that the dominant charge carrier changes from hole to electron, which will be discussed below in more detail.
cpl-36-7-077101-fig2.png
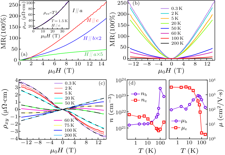
Fig. 2. Magneto-transport properties of NbIrTe$_4$ single crystals. (a) Field-dependent magnetoresistance (MR) with magnetic fields aligned to the three crystallographic directions, respectively. For clarity, the MR data for $H\parallel{a}$ and $H\parallel{b}$ are magnified by 5 and 2 times, respectively. The inset shows the MR for $H\parallel{c}$ up to $\mu_{0}H= 38$ T at $T= 1.5$ K. The cyan dashed line represents a quadratic fitting. [(b), (c)] Magnetic field dependence of MR and Hall resistivity $\rho_{xy}$ at different temperatures for $H\parallel{c}$. The dashed lines are the fitting curves using the two-carrier transport model. (d) Temperature-dependent mobility and carrier density of the carriers.
Figure 2(a) plots the field-dependent magnetoresistance (MR) defined as MR$\,=\frac{\rho_{xx}(\mu_{0}H)-\rho_{xx}(0)}{\rho_{xx}(0)}\times100\%$ with $I\parallel{a}$. Interestingly, NbIrTe$_4$ displays a non-saturating MR in all three main crystallographic axes. It is evident that the MR is strongly anisotropic and depends on the specific crystallographic axis. At 0.3 K and 14.8 T, the largest MR of 263% appears for $H\parallel{c}$, which is about 3 times larger than that for $H\parallel{b}$ (95%) and 27 times larger than that for $H\parallel{a}$. For $H\parallel{c}$, the oscillatory component superimposed on MR corresponds to the Shubnikov–de Haas (SdH) oscillation resulting from the Landau quantization of the electronic orbits. In the inset of Fig. 2(a), we plot the longitudinal resistivity $\rho_{xx}$ as a function of magnetic fields with $H\parallel{c}$ up to 38 T at 1.5 K. As denoted by the cyan dashed line, $\rho_{xx}$ shows a quadratic field dependence and there is no sign of saturation up to 38 T. Similar behaviors were reported in recently discovered type-II WSMs of WTe$_2$,[15] MoTe$_2$,[29,30] and TaIrTe$_4$.[22,31] This is in contrast with the linear MR in Dirac semi-metals[32] and quadratic MR in ordinary metals.[33] According to classical theory, the perfect electron-hole compensation[34] can give rise to the large non-saturating MR. On the other hand, the open-orbit Fermi surface topology can also lead to non-saturating MR as well as the quadratic field-dependent MR.[35] As illustrated in our DFT calculations, NbIrTe$_4$ indeed has a pair of anisotropic electron pockets with open orbits along the [010] direction in the three-dimensional Brillouin zone. Very recently, the non-saturating MR is interpreted as a result of lifting of topologically protected backscattering by magnetic fields.[22,36,37] To understand the novel properties of NbIrTe$_4$, we performed detailed measurements of the temperature dependence of the longitudinal resistivity $\rho_{xx}$ and Hall resistivity $\rho_{xy}$ for sample S1 with $I\parallel{a}$, as shown in Figs. 2(b) and 2(c). At high temperatures $T> 200$ K, the sample shows a negligible MR even at $\mu_{0}H= 14.0$ T. However, as $T$ cools from 200 K to 0.3 K, the positive MR increases steeply from 0.86% to 245% at $\mu_{0}H= 14.0$ T. From Fig. 2(c), we find that the field-dependent $\rho_{xy}$ deviates from the linear behavior as $T$ decreases, indicating that NbIrTe$_4$ is a multiband system. The slope of $\rho_{xy}$ varies from positive to negative at around $T=60$ K, indicating that the dominant carrier changes from hole to electron, in good agreement with the $R_{\rm H}$ measurement results shown in Fig. 1(b). To extract the carrier density and mobility, the semi-classical two-band model is adopted to analyze $\rho_{xx}$ and $\rho_{xy}$, $$\begin{alignat}{1} \!\!\!\!\!\rho_{xx}=\,&\frac{1}{e}\frac{(n_{\rm h}\mu_{\rm h}\!+\!n_{\rm e}\mu_{\rm e})\!+\!(n_{\rm h}\mu_{\rm e}\!+\!n_{\rm e}\mu_{\rm h}) \mu_{\rm e}\mu_{\rm h}\mu_{0}^2H^2}{(n_{\rm e}\mu_{\rm e}\!+\!n_{\rm h}\mu_{\rm h})^2\!+\!(n_{\rm h}\!-\!n_{\rm e})^2 \mu^2_{\rm e}\mu^2_{\rm h}\mu_{0}^2H^2},~~ \tag {1} \end{alignat} $$ $$\begin{alignat}{1} \!\!\!\!\!\rho_{xy}=\,&\frac{\mu_{0}H}{e}\frac{(n_{\rm h}\mu^2_{\rm h}\!-\!n_{\rm e}\mu^2_{\rm e})\!+\!(n_{\rm h}\!-\!n_{\rm e})\mu^2_{\rm e}\mu^2_{\rm h}\mu_{0}^2H^2}{(n_{\rm e}\mu_{\rm e}\!+\!n_{\rm h}\mu_{\rm h})^2\!+\!(n_{\rm h}\!-\!n_{\rm e})^2\mu^2_{\rm e}\mu^2_{\rm h}\mu_{0}^2H^2},~~ \tag {2} \end{alignat} $$ where $n_{\rm e}$ ($n_{\rm h}$) and $\mu_{\rm e}$ ($\mu_{\rm h}$) are the density and mobility of electrons (holes), respectively. We find that both $\rho_{xx}$ (not shown here) and $\rho_{xy}$ (shown as dashed curves in Fig. 2(c)) can be well fitted by Eqs. (1) and (2). From the left panel of Fig. 2(d), one can see that $n_{\rm e}$ and $n_{\rm h}$ exhibit drastically different behaviors with respect to temperatures. As $T$ is lowered, $n_{\rm h}$ reduced nearly two orders of magnitude from 8.8$\times10^{22}$ cm$^{-2}$ to 1.5$\times10^{21}$ cm$^{-2}$, while $n_{\rm e}$ grows by a factor of 3 from 2.3$\times10^{21}$ cm$^{-2}$ to 6.7$\times10^{21}$ cm$^{-2}$. Therefore, $n_{\rm e}$ is notably larger than $n_{\rm h}$ at low temperatures, indicating that the mechanism of electron-hole compensation is inadequate to explain the non-saturating MR in NbIrTe$_{4}$. The right panel of Fig. 2(d) plots $\mu_{\rm e}$ and $\mu_{\rm h}$ as a function of temperatures. Although $\mu_{\rm h}$ shows a weak temperature-dependent behavior and has a small value of 94 cm$^2/$Vs even at 0.3 K, $\mu_{\rm e}$ is more sensitive to temperatures. It increases more than three orders of magnitude from 3 cm$^2/$Vs at 300 K to 3268 cm$^2/$Vs at 0.3 K. Therefore, the Hall measurement manifests that the low-temperature transport properties of NbIrTe$_4$ are dominated by hole carriers with lower mobility and electron carrier with higher mobility, which is supported by our DFT calculations showing two electron and two hole pockets at $E_{\rm F}=$0 meV (see Fig. 1(d)). We will see that this is consistent with the SdH oscillation analysis discussed in the following.
cpl-36-7-077101-fig3.png
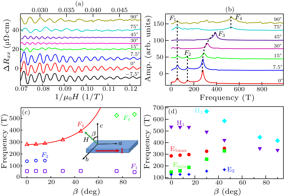
Fig. 3. (a) SdH oscillations after subtracting background in NbIrTe$_4$ measured at $T=0.3$ K at various tilt angles $\beta$ plotted versus the inverse effective magnetic field. For clarity, all the curves have been shifted in the $y$-axis. For the data of low tilt angle (0$^\circ\leq\beta\leq45^\circ$), the $x$-axis is the bottom axis, and the top axis is for the high tilt angles of 75$^\circ$ and 90$^\circ$. (b) Fast Fourier transform (FFT) spectra obtained for SdH oscillations shown in panel (a). Here $F_1$, $F_2$, $F_3$, and $F_4$ represent four oscillation frequencies. (c) Oscillation frequency plotted against the tilt angle $\beta$. The red curve represents the fit of an ideal 2D FS with $F(T)\sim1/\cos\beta$. Inset: schematic diagram of tilted experimental setup, where $a$, $b$ and $c$ denote the crystallographic axes, and $\beta$ is the tilt angle. The current $I$ is applied along the $a$-axis and the magnetic field is tilted from the $c$-axis ($\beta=0^\circ$) to the $b$-axis ($\beta=90^\circ$). (d) Calculated angular dependence of SdH frequencies with $E_{\rm F}=-8$ meV.
To access the electronic structure of NbIrTe$_4$, we performed angle-dependent SdH oscillation measurement at low temperatures in tilted magnetic fields. The configuration of magnetic field $\mu_{0}H$ and electrical current $I$ is shown in the inset of Fig. 3(c). Figure 3(a) plots the measured SdH oscillation amplitudes $\Delta R_{xx}$ as a function of the inverse magnetic field $1/\mu_{0}H$, where $\Delta R_{xx}$ is calculated from $R_{xx}$ by subtracting a smooth polynomial background. To figure out how many Fermi pockets are involved in transport, we carried out fast Fourier transform (FFT) analysis on the SdH oscillations as shown in Fig. 3(b). There are four oscillation frequencies in the FFT spectra. The low frequency of $F_1=55$ T remains almost constant at all tilt angles, indicating that it comes from a spherical Fermi surface. The most striking feature is associated with the ratio of $F_3/F_2=2$, which keeps up to $\beta\sim 30^\circ$. Another prominent feature is that the oscillation frequency of $F_3$ depends linearly on 1$/\cos\theta$ with $\theta\leq 45^\circ$ (see Fig. 3(c)), signifying that the SdH oscillations arise from the quasi-two-dimensional (quasi-2D) transport, as previously observed in Bi$_2$Te$_2$Se[37] and ZrTe$_5$.[38] To identify the origins of these oscillations, we calculate the angle-dependent oscillation frequencies at different Fermi levels $E_{\rm F}$. For clarity, here we only show the theoretical calculation results for $E_{\rm F}=-8$ meV in Fig. 3(d). It is found that the calculated oscillation frequencies of the electron pocket with the maximum E$_{\rm 1max}$ and minimum E$_{\rm 1min}$ cross-section area match the observed $F_{3}$ and $F_{2}$ overall, including the tilt-angle dependence, the ratio of $F_{3}/F_{2}$. Therefore, we ascribe $F_{2}$ and $F_{3}$ to the same electron pocket E$_{1}$ but with different extremal cross-sectional areas. The high frequency of $F_{\rm 4}\sim 520$ T observed at high tilt angles $\beta\geq75^\circ$ is reasonably consistent with the theoretically calculated value for the hole pocket H$_{2}$. As shown in Fig. 1, the Fermi surface calculation indeed illustrates that the electron pockets have open orbits when the magnetic field is along the [010] direction, which means that they cannot give rise to quantum oscillations at 90$^\circ$. However, the angle dependence of this frequency is very similar to the hole pockets H$_{1}$ and H$_{2} $ according to the calculation. Recently, Schömemann et al.[39] ascribed $F_2$ and $F_3$ to two different electron pockets due to the consistency between experimental data and theoretical calculations. Differently, $F_2$ in our case disappears as the sample is tilted to $45^\circ$ as shown in Figs. 3(a) and 3(b). Considering that the two electron pockets possess a similar shape, it is quite strange to observe that one frequency disappears as the sample is rotated, while for different extreme orbits in E$_{1}$, as we can see from the calculated frequencies shown in Fig. 4(a), the minimum cross section becomes close to the maximum when the angle rotates to 45$^\circ$, which explains the disappearance of the F$_{2}$ when the sample is tilted to 45$^\circ$. However, the missing of F$_{1}$ in the calculations is not solved by rigid shifts of the calculated bands. It is worth noting that this low-frequency oscillation can also be observable in Schömemann's work.[39] One possible explanation may be due to the tunneling between closely located hole and electron pockets as proposed in recent theoretical works.[19,40] To fully understand the observed SdH behaviors, more experimental and theoretical studies are needed. Note that the negative longitudinal resistivity induced by chiral anomaly is not seen in our samples when the magnetic field is along the current. The possible reason is that the Weyl points are still not close enough to the chemical potential $E_{\rm F}$, which is about 84 meV below the chemical potential according to calculations.[28] By comparing to the theoretical results at different $E_{\rm F}$, we find that the actual $E_{\rm F}$ is about 8 meV higher than the previously calculated $E_{\rm F}= 84$ meV. This means that the chemical potential is $E_{\rm F} = 76$ meV higher than the Weyl points in NbIrTe$_4$. In conclusion, we have performed the magneto-transport measurements on the single crystal of the type-II Weyl semimetal candidate NbIrTe$_4$. Combining the magneto-transport measurements and the DFT calculations, we find that NbIrTe$_4$ is a multiband system, and its low-temperature transport properties are dominated by one corrugated cylindrical electron pocket and one hole pocket. The quasi two-dimensional transport behavior is interpreted as the anisotropic electron pocket. Due to its quasi-two-dimensional and potentially tunable properties, it is promising to push the Weyl points close to the Fermi level by ion-gating technique. The rich electronic structure of NbIrTe$_4$ makes it an interesting direction to study the superconductivity under pressure.[41] A portion of this work was performed on the Steady High Magnetic Field Facilities, High Magnetic Field Laboratory, Chinese Academy of Sciences.
References Topological semimetal and Fermi-arc surface states in the electronic structure of pyrochlore iridatesWeyl Semimetal Phase in Noncentrosymmetric Transition-Metal MonophosphidesChern Semimetal and the Quantized Anomalous Hall Effect in HgCr 2 Se 4 Weyl Semimetal in a Topological Insulator MultilayerA Weyl Fermion semimetal with surface Fermi arcs in the transition metal monopnictide TaAs classType-II Weyl semimetalsPrediction of Weyl semimetal in orthorhombic MoTe 2 Weyl semimetals from noncentrosymmetric topological insulatorsWeyl semimetal phase in the non-centrosymmetric compound TaAsExperimental Discovery of Weyl Semimetal TaAsDiscovery of a Weyl fermion semimetal and topological Fermi arcs TaIrTe 4 : A ternary type-II Weyl semimetalEvidence for topological type-II Weyl semimetal WTe2Spectroscopic evidence for a type II Weyl semimetallic state in MoTe2Observation of Fermi arc and its connection with bulk states in the candidate type-II Weyl semimetal WTe 2 Observation of the Chiral-Anomaly-Induced Negative Magnetoresistance in 3D Weyl Semimetal TaAsField-Selective Anomaly and Chiral Mode Reversal in Type-II Weyl MaterialsPredicted Unusual Magnetoresponse in Type-II Weyl SemimetalsMagnetic Breakdown and Klein Tunneling in a Type-II Weyl SemimetalIntrinsic anomalous Hall effect in type-II Weyl semimetalsObservation of large topologically trivial Fermi arcs in the candidate type-II Weyl semimetal WT e 2 Magnetotransport and de Haas–van Alphen measurements in the type-II Weyl semimetal TaIrTe 4 MoTe 2 : A Type-II Weyl Topological MetalMetal-insulator transition and superconductivity induced by Rh doping in the binary pnictides Ru P n ( P n = P , As, Sb)Interface-Induced High-Temperature Superconductivity in Single Unit-Cell FeSe Films on SrTiO3Observation of the nonlinear Hall effect under time-reversal-symmetric conditionsTernary Weyl semimetal NbIrTe 4 proposed from first-principles calculationSignature of type-II Weyl semimetal phase in MoTe2Bulk Fermi surface of the Weyl type-II semimetallic candidate γ MoTe 2 Experimental realization of type-II Weyl state in noncentrosymmetric TaIrTe 4 Large linear magnetoresistance in Dirac semimetal Cd 3 As 2 with Fermi surfaces close to the Dirac pointsQuantum magnetoresistanceLarge, non-saturating magnetoresistance in WTe2Observation of open-orbit Fermi surface topology in the extremely large magnetoresistance semimetal MoAs 2 Observation of a three-dimensional topological Dirac semimetal phase in high-mobility Cd3As2Ultrahigh mobility and giant magnetoresistance in the Dirac semimetal Cd3As2Zeeman splitting and dynamical mass generation in Dirac semimetal ZrTe5Bulk Fermi surface of the Weyl type-II semimetallic candidate NbIrTe 4 Electron-Hole Tunneling Revealed by Quantum Oscillations in the Nodal-Line Semimetal HfSiS
[1] Wan X, Turner A M, Vishwanath A and Savrasov S Y 2011 Phys. Rev. B 83 205101
[2] Weng H M, Fang C, Fang Z, Bernevig B A and Dai X 2015 Phys. Rev. X 5 011029
[3] Xu G, Weng H M, Wang Z, Dai X and Fang Z 2011 Phys. Rev. Lett. 107 186806
[4] Burkov A A and Balents L 2011 Phys. Rev. Lett. 107 127205
[5] Huang S M, Xu S Y, Belopolski I, Lee C C, Chang G, Wang B, Alidoust N, Bian G, Neupane M, Zhang C, Jia S, Bansil A, Lin H and Hassan M Z 2015 Nat. Commun. 6 7373
[6] Soluyanov A A, Gresch D, Wang Z J, Wu Q S, Troyer M, Dai X and Bernevig B A 2015 Nature 527 495
[7] Sun Y, Wu S C , Ali M N, Felser C and Yan B H 2015 Phys. Rev. B 92 161107
[8] Liu J P and Vanderbilt 2014 Phys. Rev. B 90 155316
[9] Yang L X, Liu Z K, Sun Y, Peng H, Yang H F, Zhang T, Zhou B, Zhang Y, Guo Y F, Rahn M, Prabhakaran D, Hussain Z, Mo S K, Felser C, Yan B H and Chen Y L 2015 Nat. Phys. 11 728
[10] Lv B Q, Weng H M, Fu B B, Wang X P, Miao H, Ma J, Richard P, Huang X C, Chen G F, Zhao L X, Fang Z, Dai X, Qian T and Ding H 2015 Phys. Rev. X 5 031013
[11] Xu S Y, Belopolski I, Alidoust N, Neupane M, Bian G, Zhang C, Sankar R, Chang G, Yuan Z, Lee C C, Huang S M, Zheng H, Ma J, Sanchez D S, Wang B, Bansil A, Chou F, Shibayev P P, Lin H, Jia S and Hasan M Z 2015 Science 349 613
[12] Koepernik K, Kasinathan D, Efremov D V, Khim S, Borisenko S, Büchner B and van den Brink J 2016 Phys. Rev. B 93 201101(R)
[13] Li P, Wen Y, He X, Zhang Q, Xia C, Yu Z M , Yang S Y A, Zhu Z Y, Alshareef H N and Zhang X X 2017 Nat. Commun. 8 2150
[14] Huang L N, McCormick T M, Ochi M, Zhao Z Y, Suzuki M T , Arita R, Wu Y, Mou D X, Cao H B, Yan J Q, Trivedi N and Kaminski A 2016 Nat. Mater. 15 1155
[15] Wang C L, Zhang Y, Huang J W, Nie S M, Liu G D, Liang A J, Zhang Y X, Shen B, Liu J, Hu C, Ding Y, Liu D F, Hu Y, He S L, Zhao L, Yu L, Hu J, Wei J, Mao Z Q, Shi Y G, Jia X W, Zhang F F, Yang F, Wang Z M, Peng Q J, Weng H M, Dai X, Fang Z, Xu Z Y, Chen C T and Zhou X J 2016 Phys. Rev. B 94 241119(R)
[16] Huang X C, Zhao L X, Long Y J, Wang P P, Chen D, Yang Z H, Liang H, Xue M Q, Weng H M, Fang Z and Chen G F 2015 Phys. Rev. X 5 031023
[17] Udagawa M and Bergholtz E J 2016 Phys. Rev. Lett. 117 086401
[18] Yu Z M , Yao Y and Yang S A 2016 Phys. Rev. Lett. 117 077202
[19] O'Brien T E, Diez M and Beenakker C W J 2016 Phys. Rev. Lett. 116 236401
[20] Zyuzin A A and Tiwari R P 2016 JETP Lett. 103 717
[21] Bruno F Y, Tamai A, Wu Q S, Cucchi I, Barreteau C, Torre A de la, McKeown Walker S, Riccò S, Wang Z, Kim T K, Hoesch M, Shi M, Plumb N C, Giannini E, Soluyanov A A and Baumberger F 2016 Phys. Rev. B 94 121112(R)
[22] Khim S, Koepernik K, Efremov D V, Klotz J, Förster T, Wosnitza J, Sturza M I, Wurmehl S, Hess C, van den Brink J and Büchner B 2016 Phys. Rev. B 94 165145
[23] Wang Z J, Gresch D, Soluyanov A A, Xie W W, Kushwaha S, Dai X, Troyer M, Cava R J and Bernevig B A 2016 Phys. Rev. Lett. 117 056805
[24] Hirai D, Takayama T, Hashizume D and Takagi H 2012 Phys. Rev. B 85 140509
[25] Sajadi E, Palomaki T, Fei Z Y, Zhao W J, Bement P, Olsen C, Luescher S, Xu X D, Folk J A and Cobden D H 2018 Science 362 922
[26] Ma Q, Xu S Y , Shen H T, MacNeill D, Fatemi V, Chang T R , Valdivia A M M, Wu S F, Du Z Z, Hsu C H , Fang S, Gibson Q D, Watanabe K, Taniguchi T, Cava R J, Kaxiras E, Lu H Z , Lin H, Fu L, Gedik N and Jarillo-Herrero P 2019 Nature 565 337
[27]NbIrTe$_4$ Crystal Structure. http://materials.springer.com/ isp/crystallographic/docs/sd-0303646
[28] Li L, Xie H H , Zhao J S , Liu X X , Deng J B , Hu X R and Tao X M 2017 Phys. Rev. B 96 024106
[29] Jiang J, Liu Z K, Sun Y, Yang H F, Rajamathi C R, Qi Y P, Yang L X, Chen C, Peng H, Hwang C C , Sun S Z, Mo S K , Vobornik I, Fujii J, Parkin S S P, Felser C, Yan B H and Chen Y L 2017 Nat. Commun. 8 13973
[30] Rhodes D, Schönemann R, Aryal N, Zhou Q, Zhang Q R, Kampert E, Chiu Y C , Lai Y, Shimura Y, McCandless G T, Chan J Y, Paley D W, Lee J, Finke A D, Ruff J P C, Das S, Manousakis E and Balicas L 2017 Phys. Rev. B 96 165134
[31] Haubold E, Koepernik K, Efremov D, Khim S, Fedorov A, Kushnirenko Y, van den Brink J, Wurmehl S, Buchner B, Kim T K, Hoesch M, Sumida K, Taguchi K, Yoshikawa T, Kimura A, Okuda T and Borisenko S V 2017 Phys. Rev. B 95 241108
[32] Feng J Y, Pang Y, Wu D S, Wang Z J, Weng H M, Li J Q, Dai X, Fang Z, Shi Y G and Lu L 2015 Phys. Rev. B 92 081306(R)
[33] Abrikosov A A 1998 Phys. Rev. B 58 2788
[34] Ali M N, Xiong J, Flynn S, Tao J, Gibson Q D, Schoop L M, Liang T, Haldolaarachchige N, Hirschberger M, Ong N P and Cava R J 2014 Nature 514 205
[35] Lou R, Xu Y F, Zhao L X , Han Z Q , Guo P J , Li M, Wang J C , Fu B B , Liu Z H , Huang Y B , Richard P, Qian T, Liu K, Chen G F , Weng H M, Ding H and Wang S C 2017 Phys. Rev. B 96 241106(R)
[36] Neupane M, Xu S Y , Sankar R, Alidoust N, Bian G, Liu C, Belopolski I, Chang T R , Jeng H T , Lin H, Bansil A, Chou F C and Hasan M Z 2014 Nat. Commun. 5 3786
[37] Liang T, Gibson Q, Ali M N, Liu M H, Cava R J and Ong N P 2015 Nat. Mater. 14 280
[38] Liu Y W, Yuan X, Zhang C, Jin Z, Narayan A, Luo C, Chen Z G, Yang L, Zou J, Wu X, Sanvito S, Xia Z C, Li L, Wang Z and Xiu F X 2016 Nat. Commun. 7 12516
[39] Schönemann R, Chiu Y C , Zheng W, McCandless G T, Chan J Y and Balicas L 2019 Phys. Rev. B 99 195128
[40] van Delft M R, Pezzini S, Khouri T, Müler C S A, Breitkreiz M, Schoop L M, Carrington A, Hussey N E and Wiedmann S 2018 Phys. Rev. Lett. 121 256602
[41]Zhu J L et al., private communications