Chinese Physics Letters, 2019, Vol. 36, No. 10, Article code 106101 High-Pressure Behavior of Nano-Pt in Hydrogen Environment * Can Tian (田灿), Xiao-li Huang (黄晓丽)**, Yan-ping Huang (黄艳萍), Xin Li (李鑫), Di Zhou (周迪), Xin Wang (王鑫), Tian Cui (崔田) Affiliations State Key Laboratory of Superhard Materials, College of Physics, Jilin University, Changchun 130012 Received 27 May 2019, online 21 September 2019 *Supported by the National Natural Science Foundation of China under Grant Nos 51572108, 11504127, 51632002, 11674122, 11574112, 11474127 and 11634004, the 111 Project under Grant No B12011, the Program for Chang Jiang Scholars and Innovative Research Team in University under Grant No IRT_15R23, the National Found for Fostering Talents of Basic Science under Grant No J1103202, and the China Postdoctoral Science Foundation under Grant No 2016T90245.
**Corresponding author. Email: huangxiaoli@jlu.edu.cn
Citation Text: Tian C, Huang X L, Huang Y P, Li X and Zhou D et al 2019 Chin. Phys. Lett. 36 106101    Abstract We choose nano-Pt in hydrogen environment to explore the size effect on the formation of metal hydrides. At 30 GPa, a phase transition in the metal lattice from the cubic to hexagonal phase is observed characterized by a drastically increased volume per metal atom, indicating the formation of PtH-$P6_{3}/mmc$. We find that nano-Pt could form PtH at a lower pressure than the bulk Pt due to its high specific surface and structure defects. The present work provides the possible route to new metal hydrides under mild conditions. DOI:10.1088/0256-307X/36/10/106101 PACS:61.05.C-, 61.50.Ks, 71.55.Ak © 2019 Chinese Physics Society Article Text High pressure can provide a different route to new material synthesis and manipulate novel physical properties. In the condensed and high-pressure environments, the atoms close together and bonding patterns change, resulting in new materials that cannot be synthesized under normal conditions.[1–4] By increasing the pressure, the chemical potential of hydrogen rises steeply and then hydrogen reacts with metals to form metal hydrides. Since Ashcroft proposed the idea of chemical precompression that doping metal atoms in the hydrogen sublattice may potentially reduce the pressure required to achieve the metallic hydrogen,[5] many density functional theory calculations have shown that pressure favors the stability of polyhydrides with high stoichiometry.[6,7] These polyhydrides present intriguing properties of superconducting $T_{\rm c}$ in calculation work such as H$_{3}$S with 203 K at 200 GPa,[8,9] CaH$_{6}$ with 235 K at 150 GPa,[10] LaH$_{10}$ with 280 K at 210 GPa[11] and YH$_{10}$ with 310 K at 250 GPa.[12] Among polyhydrides mentioned above, only the theoretical prediction of H$_{3}$S and LaH$_{10}$ was confirmed.[13,14] Recently some H-rich polyhydrides were synthesized under high pressure and the H atoms exist in different forms in these polyhydrides: FeH$_{5}$ was synthesized above 130 GPa in a laser-heated diamond anvil cell, and it exhibits a layered structure with atomic hydrogen slabs, presenting a two-dimensional metallic character,[15] NaH$_{7}$ was synthesized above 40 GPa and 2000 K and it still presents nonmetallic properties due to H$_{3}^{-}$ unit processing higher-frequency vibrations in Raman spectrum,[16] LaH$_{10}$ was synthesized above 170 GPa and 1000 K and the structure matches the predicted cubic phase which has a clathrate structure of H$_{32}$ cage.[11] The novel noble metal hydrides synthesized by high pressure are considered as potential high temperature superconductors and have become one of the hot spots of scientific research. However, there are many unsolved controversy aspects such as synthesis conditions, formation mechanism, crystal structures and superconductivity. Using the high pressure diamond anvil cell technique and in situ high pressure experimental measurements, we aim to synthesize the hydrogen-rich noble metal hydrides from the typical noble metal elements Pt with hydrogen, explore the crystal structure, and chemical bonds under high pressure. The current research will provide new insight into metal hydrides. Platinum nano-powder with particle size about 50 nm was purchased from Sigma-Aldrich Company. The symmetric diamond anvil cells (DAC) were used to generate pressure. The diamonds with culet 300 µm were coated with a 100-nm-thick layer of Al$_{2}$O$_{3}$ to prevent diamond failure by hydrogen diffusion. Tungsten gaskets were also coated with 100-nm-thick gold to prevent the diffusion of hydrogen. The hydrogen was compressed to 0.17 GPa, and the cells were unclamped to allow the hydrogen to flow into the chamber and were then resealed by gas-loading apparatus. The ruby R1 peak is used to calibrate the pressure.[17] The x-ray diffraction (XRD) experiments were performed at the 4W2 beamline of Beijing Synchrotron Radiation Facility (BSRF) and 15U1 beamline of Shanghai Synchrotron Radiation Facility (SSRF). The incident wavelength of x-ray was 0.6199 Å. The MAR image plate detectors were used to collect the diffraction patterns and the two-dimensional XRD images were radially integrated using DIOPTAS software,[18] yielding intensity versus diffraction angle 2$\theta$ patterns. Prior to experimental measurement, a CeO$_{2}$ standard was used to calibrate the geometric parameters. All the experiments were carried out at room temperature. The reflex module in materials studio program was utilized to index and refine the XRD patterns.[19]
cpl-36-10-106101-fig1.png
Fig. 1. (a) Typical XRD patterns of the sample at selected pressures upon compression up to 40.2 GPa. The incident wavelength is $\lambda=0.6199$ Å. (b) The photomicrograph of the sample at different pressures.
cpl-36-10-106101-fig2.png
Fig. 2. The Rietveld refinements of XRD patterns for (a) Pt at 17.3 GPa and (b) PtH at 40.2 GPa, respectively. Inset: the corresponding raw diffraction rings.
During the compression process, we have collected the corresponding synchrotron XRD patterns and recorded the sample chamber, as shown in Fig. 1. After loading the Pt nano-powder and hydrogen into the DAC by gas-loading apparatus, we have sealed these two samples at about 8.6 GPa, and the original sample chamber has shrunk to half of the original size. Upon further compression, the sample did not show the obvious changes, from the pictures in Fig. 1. We have checked the XRD patterns carefully. At first, the diffraction pattern was undoubtedly determined to be cubic-Pt phase with space group $Fm-3m$, and the refined result is shown in Fig. 2(a). The obtained lattice parameters and volume of cubic-Pt phase are $a=3.872(6)$ Å, and $V=58.1(3)$ Å$^{3}$. Upon compression to 30.4 GPa, an additional phase appears in XRD patterns of Pt in Fig. 1(a). The new phase can easily be indexed in the $P6_{3}/mmc$ space group (hexagonal symmetry, see Fig. 2(b)). By Rietveld refinement, we have obtained the lattice parameter $a=2.777(3)$ Å and $c=4.736(4)$ Å, and volume $V=31.6(2)$ Å$^{3}$ with Pt atoms in Wyckoff position 2$a$ (0, 0, 0) and 6$c$ (0.25, 0, 0.5) at 40.2 GPa. This indicates the formation of a new compound; i.e., a metal hydride instead of a phase transition in pure platinum. We have checked the previous work[20] on the synthesis of platinum hydrides by bulk platinum and hydrogen and found that the new patterns match the previous reported hexagonal PtH. Up to the highest pressure of 40 GPa, PtH remains stable and adopts the same structure throughout this pressure range. Upon decompression, hexagonal-PtH phase decomposed into the metal and hydrogen at 17 GPa.
cpl-36-10-106101-fig3.png
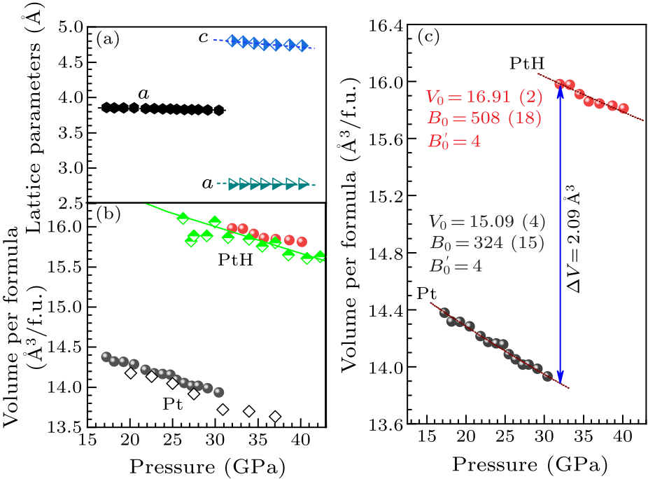
Fig. 3. (a) Lattice parameters and volume of the sample as a function of pressure. (b) The volume comparison between our work and previous results. The solid spheres represent the present experimental $P$–$V$ data, while open diamonds and half-open diamonds represent the previous results.[20] (c) The volume per formula unit as a function of pressure. The dotted curves represent the Birch–Murnaghan equation fits of our experimental results.
Because of the weak x-ray scattering cross section of H atoms, we cannot obtain the positions and stoichiometry merely through XRD diffraction patterns. To further confirm the stoichiometry of the platinum hydride, we have obtained the lattice parameters and volume as a function of pressure, which can be seen from Fig. 3. The lattice parameters of the Pt sample changes very slowly with pressure, while the ones for the PtH sample move faster upon compression (Fig. 3(a)). We also compared our pressure-volume data with the previous data, and it is seen that the unit cell volume of our samples is larger than that of the bulk samples in Fig. 3(b), attributed to the quantum size effect.[21] The pressure-volume data are fitted by the third-order Birch–Murnaghan equation of state, as follows: $$\begin{align} P=\,&\frac{3B_{0}}{2}\Big[\Big(\frac{V}{V_{0}}\Big)^{-\frac{7}{3}} -\Big(\frac{V}{V_{0}}\Big)^{-\frac{5}{3}}\Big]\\ &\cdot\Big\{1+\frac{3}{4}(B'_{0}-4) \Big[\Big(\frac{V}{V_{0}}\Big)^{-\frac{2}{3}}-1\Big]\Big\}, \end{align} $$ where $V_0$ is the volume per formula unit at ambient pressure, $V$ is the volume per formula unit at pressure $P$ given in GPa, $B$ is the isothermal bulk modulus, and $B'$ is the first pressure derivative of the bulk modulus of many metals and alloys. For cubic-Pt phase, the fitted parameters are $V=15.09(4)$ Å$^{3}$, $B=324(15)$ GPa, and $B'=4$, hexagonal-PtH phase with $V=16.91 (2)$ Å$^{3}$ and $B=508 (18)$ GPa with $B'$ at 4. The bulk modulus of nano-PtH is larger than the reported bulk compound.[2] At 32 GPa, the sample exhibits a significantly larger volume per formula than pure platinum with the volume difference amounts to 2.09 Å$^{3}$ per metal atom, substantially equalling the interstitial metal hydrides (e.g., 2.1 Å$^{3}$ for V hydride[9]). Therefore, direct comparison with other metal hydrides suggests a ratio of 1:1 for platinum hydride (assuming full stoichiometry). However, such comparisons are not directly valid since estimating the hydrogen content by comparing unit-cell volumes is based on empirical findings in interstitial hydrides. It is interesting to note that the diffusion of hydrogen sometimes appears to favor the formation of the $fcc$ phase but the present nano-metal prefers the hexagonal phase. As shown in Fig. 4, a schematic diagram of the formation of platinum hydride. The volume per Pt atom increases by 2.09 Å$^{3}$ compared to pure Pt due to H atoms occupying the octahedral vacancies in the structure. This transition and associated volume change are in good agreement with previous observations of the formation of CoH and other transition metal monohydrides.[22,23] Meanwhile, the current work shows the hydride forming process with nano-powder platinum element at lower pressure, while bulk Pt exhibits two phases cubic-PtH and hexagonal-PtH at much higher pressure. These differences may arise from the nanoparticle Pt we used. This result can be explained as follows: nano-powder Pt has a large specific surface area, the increased surface area makes the diffusion of hydrogen atoms more efficient by offering a large number of dissociation sites and allowing hydrogen atoms permeation to reach saturation fast, without the intermediate cubic-PtH. The formation of hydrides between Pt nanocrystals and hydrogen can be explained by the hydrogen embrittlement effect.[24,25] The hydrogen embrittlement effect is manifested in the phenomenon that the metal itself breaks or becomes embrittlement due to the introduction of hydrogen atoms or the infiltration of hydrogen atoms into the metal materials during the production and preparation of metals. When Pt metal is subjected to pressure, the stress concentrates on the internal defects of the metal, and many cracks on the surface go deep into the structure, leading to the gradual destruction of the structure of the metal. In the presence of a crack, H$_{2}$ molecules first decompose on the crack surface, determined by the thermodynamic properties. When H atoms on the crack surface are adsorbed and saturated, H atoms are driven by the energy generated by the interaction between the high tensile stress field and the volume mismatch caused by the insertion of H atoms in the metal Pt lattice. The hydrogen atoms in the lattice gap interact with metal atoms, thus reducing the bonding ability between metal atoms and breaking the metal bonds in metal materials. In this process, high concentrations of hydrogen atoms react with surrounding Pt metal atoms forming metal hydride PtH. Although $fcc$-Pt is known to be stable up to 660 GPa,[26] the addition of hydrogen changes its lattice from $fcc$ into $hcp$.
cpl-36-10-106101-fig4.png
Fig. 4. A schematic diagram of the formation of platinum hydride.
It was recently suggested that in the dense group IVa hydrides, where hydrogen is a dominant constituent, metallic states and superconductivity could be reached by subjecting the hydrides to high compression.[5] The experimental confirmation quickly followed with the claim of the pressure induced metallization and superconductivity in silane (SiH$_{4}$) above 50 GPa.[27] It has been argued that at pressures above 50 GPa, silane partially decomposes, releasing hydrogen, which readily reacted with platinum electrodes used for the conductivity measurements.[28] The present work further confirms that the superconductivity and very low compressibility observed in Ref. [28] are much more likely to be due to the formation of the metallic platinum hydride rather than SiH$_{4}$. In conclusion, we have reported the synthesis of platinum hydride in a diamond anvil cell, which has been confirmed by synchrotron x-ray diffraction. Above 30 GPa, we observe a known hexagonal-structure PtH-$P6_{3}/mmc$ space group, which is stable up to 40 GPa. The pressure-volume data of the discovered PtH are fitted by the third-order Birch–Murnaghan equation of state: $V=16.91 (2)$ Å$^{3}$ and $B=508(18)$ GPa with $B'$ at 4. The possibility of recovering the hydride to ambient pressure should be explored with further experiments at low temperatures. The in situ angle dispersive XRD of this work was performed at 4W2 HP-Station, Beijing Synchrotron Radiation Facility (BSRF) and 15U1 beamline, Shanghai Synchrotron Radiation Facility (SSRF).
References Pressure-Induced Hydrogen-Dominant Metallic State in Aluminum HydridePressure-induced bonding and compound formation in xenon–hydrogen solidsNew high-pressure van der Waals compound Kr(H2)4 discovered in the krypton-hydrogen binary systemNew Iron Hydrides under High PressureHydrogen Dominant Metallic Alloys: High Temperature Superconductors?Stability and properties of the Ru–H system at high pressureStructures and Properties of Osmium Hydrides under Pressure from First Principle CalculationPressure-induced metallization of dense (H2S)2H2 with high-Tc superconductivityPressure-induced decomposition of solid hydrogen sulfideSuperconductive sodalite-like clathrate calcium hydride at high pressuresSynthesis and Stability of Lanthanum SuperhydridesHigh-pressure study of silane to 150 GPaConventional superconductivity at 203 kelvin at high pressures in the sulfur hydride systemCrystal structure of the superconducting phase of sulfur hydrideA universal equation of state for solidsSynthesis of sodium polyhydrides at high pressuresPressure calibration of diamond anvil Raman gauge to 310GPaDIOPTAS : a program for reduction of two-dimensional X-ray diffraction data and data explorationSynthesis and properties of platinum hydrideSonochemical Synthesis of Cerium Oxide Nanoparticles—Effect of Additives and Quantum Size EffectSynthesis of ruthenium hydrideHigh-pressure synthesis of tantalum dihydrideA study of internal hydrogen embrittlement of steelsAtomistic process on hydrogen embrittlement of a single crystal of nickel by the embedded atom methodThe equation of state of platinum to 660 GPa (6.6 Mbar)Superconductivity in Hydrogen Dominant Materials: SilaneFormation of transition metal hydrides at high pressures
[1] Goncharenko I, Eremets M, Hanfl, M, Tse J, Amboage M, Yao Y and Trojan I 2008 Phys. Rev. Lett. 100 045504
[2] Somayazulu M, Dera P, Goncharov A F, Gramsch S A, Liermann P, Yang W, Liu Z, Mao H K and Hemley R J 2010 Nat. Chem. 2 50
[3] Ji C, Goncharov A F, Shukla V, Jena N K, Popov D, Li B, Wang J, Meng Y, Prakapenka V B, Smith J S, Ahuja R, Yang W and Mao H K 2017 Proc. Natl. Acad. Sci. USA 114 3596
[4] Pépin C M, Dewaele A, Geneste G, Loubeyre P and Mezouar M 2014 Phys. Rev. Lett. 113 265504
[5] Ashcroft N W 2004 Phys. Rev. Lett. 92 187002
[6] Liu Y, Duan D, Tian F, Wang C, Ma Y, Li D, Huang X, Liu B and Cui T 2016 Phys. Chem. Chem. Phys. 18 1516
[7] Liu Y, Duan D, Huang X, Tian F, Li D, Sha X, Wang C, Zhang H, Yang T, Liu B and Cui T 2015 J. Phys. Chem. C 119 15905
[8] Duan D F, Liu Y X, Tian F B, Li D, Huang X L, Zhao Z L, Yu H Y, Liu B B, Tian W J and Cui T 2015 Sci. Rep. 4 6968
[9] Duan D F, Huang X L, Tian F B, Li D, Yu H Y, Liu Y X, Ma Y B, Liu B B and Cui T 2015 Phys. Rev. B 91 180502
[10] Wang H, Tse J S, Tanaka K, Iitaka T and Ma Y M 2012 Proc. Natl. Acad. Sci. USA 109 6463
[11] Geballe Z M, Liu H Y, Mishra A K, Ahart M, Somayazulu M, Meng Y, Baldini M and Hemley R J 2018 Angew. Chem. Int. Ed. 57 688
[12] Liu H Y, Naumov I I, Hoffmann R, Ashcroft N W and Hemley R J 2017 Proc. Natl. Acad. Sci. USA 114 6990
[13] Drozdov A P, Eremets M I, Troyan I A, Ksenofontov V and Shylin S I 2015 Nature 525 73
[14] Einaga M, Sakata M, Ishikawa T, Shimizu K, Eremets M I, Drozdov A P, Troyan I A, Hirao N and Ohishi Y 2016 Nat. Phys. 12 835
[15] Pepin C M, Geneste G, Dewaele A, Mezouar M and Loubeyre P 2017 Science 357 382
[16] Struzhkin V V, Kim D Y, Stavrou E, Muramatsu T, Mao H K, Pickard C J, Needs R J, Prakapenka V B and Goncharov A F 2016 Nat. Commun. 7 12267
[17] Akahama Y and Kawamura H 2006 J. Appl. Phys. 100 043516
[18] Prescher C and Prakapenka V B 2015 High Press. Res. 35 223
[19]Young R A 1993 IUCr Monographies of Crystallography (Oxford: Oxford University Press) p 5
[20] Scheler T, Degtyareva O, Marqués M, Guillaume C L, Proctor J E, Evans S and Gregoryanz E 2011 Phys. Rev. B 83 214106
[21] Yin L, Wang Y, Pang G, Koltypin Y and Gedanken A 2002 J. Colloid Interface Sci. 246 78
[22] Kuzovnikov M A and Tkacz M 2016 Phys. Rev. B 93 064103
[23] Kuzovnikov M A, Tkacz M, Meng H, Kapustin D I and Kulakov V I 2017 Phys. Rev. B 96 134120
[24] Tiwari G P, Bose A, Chakravartty J K, Wadekara S L, Totlanib M K, Arya R N and Fotedar R K 2000 Mater. Sci. Eng. A 286 269
[25] Xu X, Wen M, Hu Z et al 2002 Comput. Mater. Sci. 23 131
[26] Holmes N C, Moriarty J A, Gathers G R and Nellis W J 1989 J. Appl. Phys. 66 2962
[27] Eremets M I et al 2008 Science 319 1506
[28] Degtyareva O et al 2009 Solid State Commun. 149 1583