Chinese Physics Letters, 2017, Vol. 34, No. 7, Article code 074202 Intracavity Spontaneous Parametric Down-Conversion in Bragg Reflection Waveguide Edge Emitting Diode * Si-Hang Wei(魏思航)1,2,3, Xiang-Jun Shang(尚向军)1,2,3, Ben Ma(马奔)1,2,3, Ze-Sheng Chen(陈泽生)1,2,3, Yong-Ping Liao(廖永平)1,2,3, Hai-Qiao Ni(倪海桥)1,2,3**, Zhi-Chuan Niu(牛智川)1,2,3 Affiliations 1State Key Laboratory for Superlattices and Microstructures, Institute of Semiconductors, Chinese Academy of Sciences, Beijing 100083 2College of Materials Science and Opto-Electronic Technology, University of Chinese Academy of Sciences, Beijing 101408 3Synergetic Innovation Center of Quantum Information and Quantum Physics, University of Science and Technology of China, Hefei 230026 Received 22 January 2017 *Supported by the National Key Basic Research Program of China under Grant Nos 2013CB933304 and 2014CB643904, the National Natural Science Foundation of China under Grant Nos 61435012 and 61274125, and the Strategic Priority Research Program (B) of Chinese Academy of Sciences under Grant No XDB01010200.
**Corresponding author. Email: nihq@semi.ac.cn
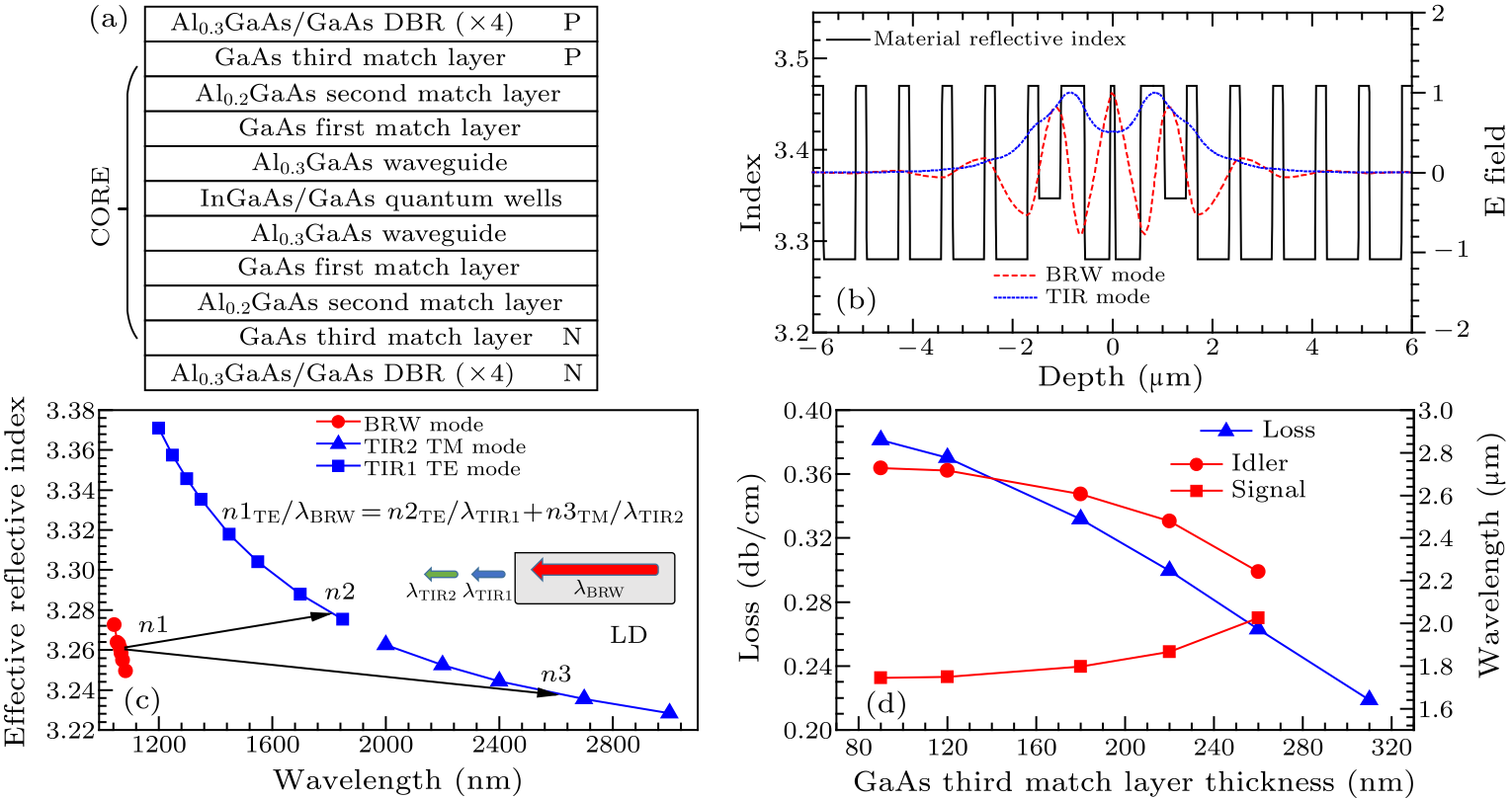
Citation Text: Wei S H, Shang X J, Ma B, Chen Z S and Liao Y P et al 2017 Chin. Phys. Lett. 34 074202 Abstract A four-wavelength Bragg reflection waveguide edge emitting diode based on intracavity spontaneous parametric down-conversion and four-wave mixing (FWM) processes is made. The structure and its tuning characteristic are designed by the aid of FDTD mode solution. The laser structure is grown by molecular beam epitaxy and processed to laser diode through the semiconductor manufacturing technology. Fourier transform infrared spectroscopy is applied to record wavelength information. Pump around 1.071 μm, signal around 1.77 μm, idler around 2.71 μm and FWM signal around 1.35 μm are observed at an injection current of 560 mA. The influences of temperature, carrier density and pump wavelength on tuning characteristic are shown numerically and experimentally. DOI:10.1088/0256-307X/34/7/074202 PACS:42.55.Px, 42.60.By, 42.65.Lm, 78.55.Cr © 2017 Chinese Physics Society Article Text Spontaneous parametric down-conversion (SPDC) has been widely employed in quantum optics and frequency tunable optical parametric oscillator to generate multiple entangled photons or arbitrary emission wavelengths.[1,2] However, to achieve the SPDC process in indirect band-gap bulk crystals such as LiNbO$_3$, KTP, and BBO as well as their periodically poled products,[3] a careful vibration-free alignment is required between pump source and nonlinear parts. A promising alternative, direct band-gap semiconductor Al$_{x}$Ga$_{(1-x)}$As ($x < 0.4$) with large second-order nonlinearity and broadband transparency,[4] on the other hand enables an integration of the pump source and the nonlinear parts. Unfortunately, phase matching condition is impossible to satisfy in optical isotropic Al$_{x}$Ga$_{(1-x)}$As materials by conventional waveguide structures. High conversion efficiency Bragg reflection waveguide (BRW)[5] and BRW edge emitting laser (BRWL)[6,7] were developed recently. Among several approaches to achieve phase matching in Al$_{x}$Ga$_{(1-x)}$As waveguide such as formal birefringent phase matching (FPBM),[8] quasi phase matching (QPM)[9] and modal phase matching (MPM),[10,11] only BRWLs utilizing MPM can easily realize electrically driven intracavity SPDC.[12] However, it appears to be a trivial task to design such a device because of three limitations. Firstly, the lase mode is limited to the BRW mode. Secondly, the emission frequency is limited within the phase matching range of BRW structure. Lastly, pump light and converted lights must have minimum propagation loss and maximum mode overlapping. By inserting multiple match layers (MLs) into the interface of core and Bragg reflector, the flexibility of design is significantly enhanced.[13] ML-BRW is theoretically and experimentally demonstrated, but with limited descriptions on their spectrum tuning features. In this Letter, we report a three-ML BRWL operating with pump wavelength around 1.071 μm, signal wavelength around 1.77 μm and idler wavelength around 2.71 μm. It presents distinct tuning characteristics in agreement with our simulation results. Meanwhile, it offers a way to extend the diode emission wavelength to infrared range in addition to quantum cascade lasers.[14,15] The additional four wave mixing (FWM) signal at 1.35 μm is also observed. The structure is shown in Fig. 1(a). It has four periods of $\lambda $/4-thick distributed Bragg reflectors (DBRs) on both sides of the core, where $\lambda$ is the luminescence wavelength of the quantum well. In addition to quantum wells, the core also consists of two Al$_{0.3}$Ga$_{0.7}$As waveguides and three MLs. Two types of propagation modes are illustrated in Fig. 1(b) with layer index information, the BRW mode is confined in the middle of one-dimensional photon crystal as a dominant lase mode, and the other modes are defined by total internal refraction (TIR) in MLs and waveguides. The effective index of these modes are shown in Fig. 1(c). Phase matching equation is shown in the inset. When the phase matching condition is fulfilled, these TIR modes are induced by high intensity intracavity BRW mode through the SPDC process. We can enhance the mode overlap, reduce the propagation loss and choose conversion wavelength by manipulating the thickness of the MLs. Figure 1(d) shows the influence of GaAs third ML thickness on conversion wavelength and propagation loss of 2 μm light.
cpl-34-7-074202-fig1.png
Fig. 1. Schematic structure of BRW (a), index of each layer, electrical field of BRW mode and TIR mode (b), effective index of BRW mode and two TIR modes (c), parametric wavelength and optical loss of 2 μm light as a function of GaAs third ML thickness (d).
cpl-34-7-074202-fig2.png
Fig. 2. Parametric wavelength dependence on pump wavelength (a) and index difference (b).
We choose 220 nm thickness in the initial structure to prevent phase mismatch brought by thermal effect. Simulation is based on the structure where the DBRs are 219 nm/644 nm, the waveguide is 510 nm, and MLs are 480 nm/440 nm/220 nm. We use FDTD mode solutions to numerically analyze the parametric wavelength characteristic with pump wavelength. The simulation result is illustrated in Fig. 2(a). The idler wavelength blue shifts by 26.33 nm and the signal wavelength red shifts by 15 nm when the pump wavelength increases by 1 nm. We use reflective index instead of temperature and carrier density to study their influence on the device, because temperature and carrier density are associated with material reflective index. The differential reflective index of AlGaAs with temperature is approximately $2.173\times10^{-4}$/K[16] and that with carrier density $dn/dN$ is approximately $-1.2\times10^{-20}$ cm$^{3}$ below the threshold current.[17] Therefore, parametric wavelength is illustrated as a function of index difference in Fig. 2(b). The tuning curve is quite opposite to Fig. 2(a). The carrier tuning curve is in the same trend as the pump wavelength while the temperature tuning curve is in the opposite direction if the index difference is translated back to temperature and carrier density.
cpl-34-7-074202-fig3.png
Fig. 3. Power to current and voltage to current relationship (a), and cross section SEM image of the device (b)
Based on the above simulation, a device is fabricated and its cross section scanning electron microscope (SEM) is shown in Fig. 3(b). The laser structure is grown on a 2-degree offcut GaAs(100) substrate by molecular beam epitaxy (MBE). The growth rate of each layer is carefully controlled by reflection high-energy electron diffraction (RHEED) measurement to give sub-nm precision thickness.[18] The active region contains three 6 nm InGaAs quantum wells with PL peak at 1.064 μm. The DBRs are p- and n-type doped by using Si and Be while the waveguide and MLs are left un-doped for less carrier absorption loss at low frequency.[19] An approximate 4 μm wide ridge waveguide in 3.9 μm depth is fabricated through lithography and the inductive coupled plasma (ICP) technique. Finally, a laser diode is made by the conventional laser diode fabrication technique and upside-down solder to copper sink for testing. The working temperature is controlled by a thermoelectric cooler (TEC). The spectrum is recorded by a Fourier transform infrared spectroscopy (FT-IR). The device generates too much heat to lase at a continuous wave (cw) mode. Thus we use pulse power to generate 100 kHz 6.5 μs electrical pump on the device. Figure 3(a) shows the power versus the injection current. The device shows the fluorescence before lasing at 280 mA, and the slope is 0.025 W/A. After the injection current increases above 280 mA, the slope is 0.074 W/A. When the injection current increases beyond 390 mA, the slope is 0.061 W/A. Usually this slope change coincides with a change in laser dynamic from one stable mode to the other stable mode. In our case we assume that the slope change is due to the wavelength jump based on the special wavelength modulation brought by the BRW structure,[20] where we can find in Fig. 4(i). As the wavelength suddenly red shifts, the reflection of DBR dramatically decreases and results in higher propagation loss and lower slope efficiency. The behavior of the voltage versus current shows a high resistance mainly due to the undoped core and the thick epi-layers, the high resistance induces much heat in the device and prevents it from lasing at the cw mode.
cpl-34-7-074202-fig4.png
Fig. 4. Spectra recorded at different injection currents: 240 mA [(a), (e)], 260 mA [(b), (f)], 400 mA [(c), (g)], and 530 mA [(d), (h)]. (i) Pump peaks 1 and 2 are represented by dots and squares, respectively, triangles represent their average values, and the red line is the linear fit of the average value. (j) Squares show the recorded parametric wavelength and the red line is the linear fit of their average value. Here (a)–(d) and (e)–(h) are displayed in different wavelength regions.
Spectrum analyses are conducted by replacing one of the IR sources of FT-IR with our device with proper alignment. To record wavelength beyond 2.5 μm, mid-MCT No.316 whose detection wavelength range from 0.83 μm to 16.6 μm is used. Electrical pump pulse frequency is set beyond the frequency of inner laser in FT-IR setup to prevent interference. TEC temperature is 14$^{\circ}\!$C. We test the device at 100 kHz with 6.5 μs pulse width (65% duty ratio). The results are shown in Figs. 4(a)–4(h). BRWL shows single 1.064 μm light at 240 mA. The internal optical intensity begins to grow with the increasing current and then reaches the threshold power to induce SPDC at 260 mA. The spectrum at 260 mA is illustrated in Fig. 4(f), and parametric lights range from 2.87 μm to 2.96 μm and from 1.66 μm to 1.72 μm are clearly observed. The SPDC process occurs at 260 mA corresponding to a pump power of 5 mW. One thing to be noted is that the fourth frequency appears when the current increases to 400 mA, and this additional frequency will be explained in the following. Pump dependence on injection current is observed in Fig. 4(i). The tuning curve is linear fitted using the average value. The calculation is conducted separately below 330 mA and beyond 380 mA, because the wavelength suddenly red shifts around 330 mA, due to the special BRW mode and temperature change.[21] The pump wavelength shift with current is about $2.73\times10^{-3}$ nm/mA below 330 mA and about $1.69\times10^{-3}$ nm/mA beyond 380 mA. The tuning curve of parametric wavelength is shown in Fig. 4(j). The signal wavelength shift with current is about $1.82\times10^{-1}$ nm/mA and the idler wavelength shift with current is about $-3.32\times10^{-1}$ nm/mA below 330 mA, and they are about $2.87\times10^{-1}$ nm/mA and $-6.24\times10^{-1}$ nm/mA above 380 mA. The parametric wavelength dependence on pump wavelength is then calculated to be 67 nm/nm for signal and $-$121 nm/nm for idler below 330 mA and to be 169.8 nm/nm for signal and $-$369.2 nm/nm for idler beyond 380 mA. This value is larger than 15 nm/nm and $-$26.33 nm/nm in the simulation because of the combined effects of carrier tuning and temperature tuning. Carrier-induced index change in the AlGaAs material is nonlinear around the threshold current, which can explain the difference of the tuning characteristic around 330 mA. To avoid carrier effect on tuning characteristic, we change the temperature of TEC while keeping 100 kHz and 65% duty ratio. The injection current is 450 mA. The result is depicted in Figs. 5(a)–5(c). When the temperature increases from 14$^{\circ}\!$C to 20$^{\circ}\!$C, the pump wavelength red shifts at a rate of $1.8209\times10^{-1}$ nm/$^{\circ}\!$C. The corresponding signal red shifts at rate of 3.24 nm/$^{\circ}\!$C and idler blue-shifts at rate of 9.65 nm/$^{\circ}\!$C. The parametric wavelength dependence on pump wavelength is then calculated to be 17.79 nm/nm for signal and $-$52.99 nm/nm for idler. The slope is reduced when carrier density remains constant because carrier tuning and pump tuning are in the same direction. The temperature tuning is in the other direction which has already proved by passive BRW devices. However, it has less effect than carrier density because the slope is close to simulated result. These three distinct tuning characteristics may be the reason for the abnormal tuning curves in reported BRWs.[22]
cpl-34-7-074202-fig5.png
Fig. 5. Spectrum, peak wavelengths of pump and conversion lights along with linear fit curves of their average values when temperature (a)–(c) and pulse width (d)–(f) are changed.
cpl-34-7-074202-fig6.png
Fig. 6. Photon energy of pump and a sum of photon energy of signal and idler (a), and a sum of photon energy of pump and idler and a sum of photon energy of signal and FWM signal (b).
Moreover, we change the pulse width to tune our device, and the device is pumped at constant 450 mA 20 kHz with different pulse widths of 6.5 μs, 15 μs, 32 μs and 38 μs corresponding to duty ratios of 13%, 30%, 64% and 76%. The TEC temperature is 16$^{\circ}\!$C. Figures 5(e)–5(f) show the measured results. When the pulse width increases from 6.5 μs to 38 μs, the pump wavelength red shifts at a rate of $2.37\times10^{-1}$nm/μs. The corresponding signal shifts to red side at a rate of 3.24 nm/μs and idler shifts to blue side at a rate of 7.29 nm/μs. The parametric wavelengths' dependence on pump wavelength are then calculated to be 13.67 nm/nm for signal and $-$30.78 nm/nm for idler. By increasing duty ratio, the actual temperature in active region increases despite the constant TEC temperature. This result coincides with the above temperature test result and further confirms that the carrier density has non-ignorable influence on device tuning characteristic. Finally, the fourth frequency is assumed to be the FWM signal induced by the third order nonlinearity. Figure 6(a) depicts the photon energy calculated from experimental result of SPDC, and the energy conversion condition is verified. Figure 6(b) depicts the photon energy calculated from experimental result of four frequencies. It indicates that the third frequency is actually generated through the phase matching process in the intracavity of our device, despite the fact that this fourth frequency phase matching condition is not satisfied in our designed structure. However, the bandwidths of generated parametric lights are much broader than the expected ones and we believe that it gives the fourth frequency an opportunity to phase match with the lights generated from the SPDC process. Additionally, due to the flexibility of these ML-BRW structures, we can deliberately design structures that can satisfy two phase matching conditions at the same time to facilitate multiple entangled photons in quantum optical field. In summary, we have designed an intracavity SPDC BRWL structure and numerically analyzed its tuning characteristics. The device is made through MBE and the semiconductor manufacture technology. It emits four wavelengths at the same time. Three of them are induced by the intracavity SPDC process and the other one is induced by the FWM process. The carrier density tuning and pump wavelength tuning are in the same trend while the temperature tuning is opposite. These tuning trends are in agreement with the simulation result. From these tuning characteristics, we can design devices that can operate at desired wavelengths under given operation conditions.
References Collinear source of polarization-entangled photon pairs at nondegenerate wavelengthsPhoton Statistical Properties of Single Terrylene Molecules in P-Terphenyl CrystalsNonlinear Optical Frequency ConversionPhase matching using an isotropic nonlinear optical materialContinuous-wave second harmonic generation in Bragg reflection waveguidesBragg reflection waveguide diode lasersHigh power single-sided Bragg reflection waveguide lasers with dual-lobed far fieldHuge birefringence in selectively oxidized GaAs/AlAs optical waveguidesWavelength conversion by difference frequency generation in AlGaAs waveguides with periodic domain inversion achieved by wafer bondingSecond-harmonic generation through optimized modal phase matching in semiconductor waveguidesContinuous-wave second-harmonic generation in modal phase matched semiconductor waveguidesElectrically Injected Photon-Pair Source at Room TemperatureMatching Layers in Bragg Reflection Waveguides for Enhanced Nonlinear InteractionA Broadband Pulsed External-Cavity Quantum Cascade Laser Operating near 6.9 ?mDevelopment of Surface Grating Distributed Feedback Quantum Cascade Laser for High Output Power and Low Threshold Current DensityThe refractive index of AlxGa1?xAs below the band gap: Accurate determination and empirical modelingThe carrier-induced index change in AlGaAs and 1.3 ?m InGaAsP diode lasersDynamics of film growth of GaAs by MBE from Rheed observationsFree-carrier absorption in Be- and C-doped GaAs epilayers and far infrared detector applicationsElectrically Injected Twin Photon Emitting Lasers at Room TemperatureMode Selectivity in Bragg Reflection Waveguide LasersSemiconductor optical parametric generators in isotropic semiconductor diode lasers
[1] Trojek P and Weinfurter H 2008 Appl. Phys. Lett. 92 211103
[2] Han K Z, Ning J, He J L, Hou J, Zhang B T and Wang Z W 2015 Chin. Phys. Lett. 32 063303
[3] Fejer M M 1994 Phys. Today 47 25
[4] Fiore A, Berger V, Rosencher E, Bravetti P and Nagle J 1998 Nature 391 463
[5] Abolghasem P, Han J, Bijlani B J, Arjmand A and Helmy A S 2009 Opt. Express 17 9460
[6] Bijlani B J and Helmy A S 2009 Opt. Lett. 34 3734
[7] Wang L J, Yang Y, Zeng Y G et al 2012 Appl. Phys. B 107 809
[8] Fiore A, Berger V, Rosencher E, Laurent N et al 1996 Appl. Phys. Lett. 68 1320
[9] Yoo S J B, Caneau C, Bhat R, Koza M A, Rajhel A and Antoniades N 1996 Appl. Phys. Lett. 68 2609
[10] Moutzouris K, Venugopal Rao S, Ebrahimzadeh M, De Rossi A et al 2003 Appl. Phys. Lett. 83 620
[11] Ducci S, Lanco L, Berger V, De Rossi A, Ortiz V and Calligaro M 2004 Appl. Phys. Lett. 84 2974
[12] Boitier F, Orieux A, Autebert C, Lemaitre A et al 2014 Phys. Rev. Lett. 112 183901
[13] Abolghasem P and Helmy A S 2009 IEEE J. Quantum Electron. 45 646
[14] Luo W and Duan C X 2016 Chin. Phys. Lett. 33 024207
[15] Liu Y H et al 2015 Chin. Phys. Lett. 32 024202
[16] Gehrsitz S, Reinhart F K, Gourgon C, Herres N, Vonlanthen A and Sigg H 2000 J. Appl. Phys. 87 7825
[17] Manning J, Olshansky R and Chin S 1983 IEEE J. Quantum Electron. 19 1525
[18] Neave J H, Joyce B A, Dobson P J and Norton N 1983 Appl. Phys. A 31 1
[19] Korotkov A L, Perera A G U, Shen W Z, Herfort J et al 2001 J. Appl. Phys. 89 3295
[20] Autebert C, Maltese G, Halioua Y, Boitier F et al 2016 Technologies 4 24
[21] Tong C, Bijlani B J, Zhao L J, Alali S, Han Q and Helmy A S 2011 IEEE Photon. Technol. Lett. 23 1025
[22] Bijlani B J, Abolghasem P and Helmy A S 2013 Appl. Phys. Lett. 103 091103