Chinese Physics Letters, 2016, Vol. 33, No. 7, Article code 074205 Autler–Townes Splitting in a ${\it \Delta}$-Type Quantum Three-Level System * Qi-Chun Liu(刘其春), Han Cai(蔡涵), Ying-Shan Zhang(张颖珊), Jian-She Liu(刘建设), Wei Chen(陈炜)** Affiliations Institute of Microelectronics, Department of Microelectronics and Nanoelectronics and Tsinghua National Laboratory of Information Science and Technology, Tsinghua University, Beijing 100084 Received 26 February 2016 *Supported by the National Basic Research Program of China under Grant Nos 2011CBA00304, 2014CB848700 and 2014CB921401.
**Corresponding author. Email: weichen@tsinghua.edu.cn
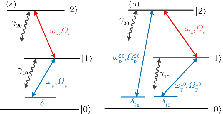
Citation Text: Liu Q C, Cai H, Zhang Y S, Liu J S and Chen W 2016 Chin. Phys. Lett. 33 074205 Abstract We observe the Autler–Townes splitting effect in a ${\it \Delta}$-type quantum three-level system, using the lowest three levels of a SQUID-type Al/AlOx/Al transmon qubit embedded in a three-dimensional copper microwave cavity. A control tone at different strengths is applied in resonance with the transition between the first and second excited states, while the spectra between each of them and the ground state are probed by another microwave tone. The experimental result shows the difference between the two spectra, and fits well with the Lindblad master equation model. DOI:10.1088/0256-307X/33/7/074205 PACS:42.50.Ct, 32.80.Qk, 74.78.Na © 2016 Chinese Physics Society Article Text As an artificial atom, a superconducting quantum circuit exhibits its great potential in implementing quantum computation and on-chip quantum optics experiments.[1] One of these impressive quantum optics effects is the Autler–Townes splitting (ATS),[2] which happens when we drive a quantum three-level system with a strong drive field, resonant with two of the levels. It is caused by the electromagnetic pumping doublet structure. ATS is closely related to another kind of quantum optics effect, called electromagnetically induced transparency (EIT),[3,4] which is caused by destructive interference between two different excitation pathways. Both ATS and EIT effects create a transparency window in the absorption or transmission spectrum. These two kinds of quantum optics effects have been studied variously in superconducting quantum circuit systems,[5-18] and to distinguish ATS and EIT effects, some methods have been reported.[19-22] In all the reported ATS experiments, realized in the superconducting circuit quantum electrodynamic (QED) systems, the three-level system is only taken as ${\it \Xi}$-type, corresponding to the quantum system working at the optimal point. One-photon transition process between the ground state and the second excited state is forbidden at the optimal point,[23] thus only the spectrum of transition between the ground and first excited states is probed. However, in some superconducting circuit QED systems, taking transmon for an example, the charge bias $n_{\rm g}$ is not set at 0.5, which means that the qubit is no longer set at the optimal point anymore. Thus one-photon transition process between the ground and second excited states is not forbidden and must be taken into account. For further studying of the ATS effect in a superconducting quantum circuit, we take the three-level system as a ${\it \Delta}$-type (see Fig. 1(b)), with a control tone resonant with the transition between the second and first excited states. By probing both levels subjected to the control tone, we can compare the splitting effect of the two levels. Our experimental result can be well explained by the model of a three-level system with a control and a probe fields. The device, used for our experiment in this study, is a tunable 3D transmon,[24,25] whose single Josephson junction is replaced by a superconducting quantum interference device (SQUID) with two junctions. The transmon is fabricated on the silicon dioxide substrate with a standard double-angle evaporation process; the Al/AlOx/Al junction[26] has an area of 100 nm $\times$ 250 nm, the SQUID loop is of the size 2.5 μm $\times$ 3.5 μm and each Al shunting capacitor pad has an area of 250 μm $\times$ 500 μm. The transmon is embedded in a 3D copper microwave cavity,[27] with a global magnetic bias which can tune the effective Josephson energy of the transmon. Our experiment was performed in a dilution refrigerator at base temperature 20 mK. In the experiment reported here, the effective Josephson energy $E_{\rm J}$ and the charging energy $E_{\rm C}$ are measured to be $E_{\rm J}/h=15.000$ GHz and $E_{\rm C}/h=345$ MHz. The first mode bare frequency of cavity is 8.1920 GHz with a loaded quality factor $Q_{\rm L}\sim8000$. The state of the transmon, representing the absorption of the probe field, is revealed by the cavity transmission at dispersive frequency ($\omega_{\rm cavity}=2\pi\times8.2029$ GHz), and the transmission of the cavity is measured by a parameter network analyzer with power $-$70 dBm at the source output. Taking into account an attenuation of $-$80 dB before cavity, $-$70 dBm corresponds to 0.2 average photons in the cavity. We denote the lowest three levels of transmon as $|i\rangle$ ($i=0$, 1 and 2), with the corresponding eigenenergy $\hbar\omega_i$ and the transition frequency between states $|i\rangle$ and $|j\rangle$ being $\omega_{ij}=\omega_i-\omega_j$ ($i>j$) (see Fig. 1(b)). We obtain the spectrum of the qubit by applying a probe tone with frequency around $\omega_{10}$ ($\omega_{20}$) and measure the transmission of cavity in dispersive regime. By fitting the spectrum with a Lorentzian, we obtain the damping rates $\gamma_{10}=2\pi\times1.74$ MHz and $\gamma_{20}=2\pi\times4.02$ MHz, as well as the corresponding transition frequencies $\omega_{10}=2\pi\times6.0893$ GHz and $\omega_{20}=2\pi\times11.8336$ GHz. In the experiment, the three-level system is driven with a control tone, resonant with the transition frequency between $|2\rangle$ and $|1\rangle$ ($\omega_{\rm c}=\omega_{21}$), and a probe tone, slightly detuned from the transition frequency between $|n\rangle$ and $|0\rangle$ ($\omega_{\rm p}^{n0}=\omega_{n0}-\delta_{n0}$, $n=1$ and 2). The corresponding strengths are ${\it \Omega}_{\rm c}$ and ${\it \Omega}_{\rm p}^{10}$ (${\it \Omega}_{\rm p}^{20}$), respectively.
cpl-33-7-074205-fig1.png
Fig. 1. (a) The ${\it \Xi}$-type three-level system. One photon transition process between the ground and second excited states is forbidden. (b) The ${\it \Delta}$-type three-level system. It is driven with a control tone resonant with the transition between $|2\rangle$ and $|1\rangle$, and the probe tone with frequency $\omega_{\rm p}^{10}$ ($\omega_{\rm p}^{20}$) having a detuning $\delta_{10}$ ($\delta_{20}$) from the transition between $|1\rangle$ ($|2 \rangle$) and $|0\rangle$. The strengths are ${\it \Omega}_{\rm c}$ and ${\it \Omega}_{\rm p}^{10}$ (${\it \Omega}_{\rm p}^{20}$), respectively.
Another measurement tone is applied in resonance with the dispersive frequency of the cavity when the transmon is in the ground state $|0\rangle$, and the strength is ${\it \Omega}_{\rm m}$. Under the rotating-wave approximation, the system Hamiltonian is $H^{n}=H_{\rm 0}^{n}+H_{\rm int}^{n}$, with $$\begin{align} H_{\rm 0}^{n}=\,&\hbar\delta_{n0}(\sigma_{22}+\sigma_{11})-\hbar[{\it \Omega}_{\rm p}^{n0}(\sigma_{n0}+\sigma_{0n})\\ +&{\it \Omega}_{\rm c}(\sigma_{21}+\sigma_{12})+{\it \Omega}_{\rm m}a^† a],\\ H_{\rm int}^{n}=\,&-\Big[\frac{g^{2}}{{\it \Delta}_{10}}\sigma_{00}+\Big(\frac{g^{2}}{{\it \Delta}_{10}}-\frac{2g^{2}}{{\it \Delta}_{21}}\Big)\sigma_{11}\\ +&\frac{2g^{2}}{{\it \Delta}_{21}}\sigma_{22}\Big]a^†a,~~ \tag {1} \end{align} $$ where $\sigma_{ij}=|i\rangle\langle j|$ is the atomic projection operator, $a$ ($a^†$) is the annihilation (creation) operator of the cavity mode, $g$ is the coupling strength between the cavity and the transition $|0\rangle\leftrightarrow|1\rangle$, ${\it \Delta}_{ij}=\omega_{ij}-\omega_{\rm cavity}$, $H_{0}^{n}$ describes that the three-level system is driven with the control and probe tones while the cavity is measured by a measurement tone, and $H_{\rm int}^{n}$ represents the interaction between the three-level system and the cavity. The quantum dynamics of the system can be described by a Lindblad master equation $$ \frac{d\rho}{dt}=-\frac{i}{\hbar}[H^{n},\rho]+\mathcal{L}[\rho],~~ \tag {2} $$ with the Lindblad term $$\begin{align} \mathcal{L}[\rho]=\,&{\it \Gamma}_{21}\rho_{22}(-\sigma_{22}+\sigma_{11}) +{\it \Gamma}_{10}\rho_{11}(-\sigma_{11}+\sigma_{00})\\ &+{\it \Gamma}_{20}\rho_{22}(-\sigma_{22}+\sigma_{00})-\sum_{i \neq j}\gamma_{ij}\rho_{ji}\sigma_{ij}\\ &+\frac{\kappa}{2}\mathcal{D}[a]\rho,~~ \tag {3} \end{align} $$ where $\gamma_{ij}$ (=$\gamma_{ji}$) and ${\it \Gamma}_{ij}$ ($i>j$, $i, j=0$, 1 and 2) are the damping rate and relaxation rate between state $|i\rangle$ and $|j\rangle$, $\rho$ is the system density matrix $\rho=\rho_{ij}|i\rangle\langle j|$, and $\mathcal{D}[a]\rho=2a\rho a^†-a^† a\rho-\rho a^†a$ denotes the decay rate of the cavity photon levels.
cpl-33-7-074205-fig2.png
Fig. 2. The spectrum $T_{1}$ ($T_{2}$) of transition between $|1\rangle$ ($|2\rangle$) and $|0\rangle$. The control tone power increases from $-$20 dBm to 1 dBm at source output and it is resonant with the transmon transition frequency $\omega_{21}$. The probe tone has a detuning $\delta_{10}$ ($\delta_{20}$) from transition frequency $\omega_{10}$ ($\omega_{20}$) and the strength is about 0.5 MHz, extracted from the time domain Rabi oscillation measurement.
When the probed level is $|n\rangle$ ($n=1$ and 2), the cavity transmission $T_{n}$, obtained by the cavity measurement tone, is proportional to the average photons $\langle a^†a\rangle$ in the cavity, and depends on the occupation probability of the transmon being in each state. It is given by $T_{n}=\rho_{00}T'_{0}+\rho_{11}T'_{1}+\rho_{22}T'_{2}$, where $\rho_{00}+\rho_{11}+\rho_{22}=1$ and $T'_{0}$, $T'_{1}$ and $T'_{2}$ are the cavity transmission when the qubit is in $|0\rangle$, $|1\rangle$ and $|2\rangle$ states, respectively. In this work, $T'_{0}$ is normalized to 0 and $r_{T}\equiv T'_{1}/T'_{2}$, thus $T_{n}\equiv\rho_{22}+r_{T}\rho_{11})|_{n}$. For a weak probe field (${\it \Omega}_{\rm p}^{n0}\ll\gamma_{10}, \gamma_{20}$), starting from the ground state, solving the master Eq. (2) in a steady state gives a good approximate solution for $(\rho_{22}+r_{T}\rho_{11})|_{n}$, $$\begin{align} T_{1}\equiv\,&(\rho_{22}+r_{T}\rho_{11})|_{n=1}\\ =\,&\frac{A_{1}{\it \Omega}_{\rm p}^{10}\Big(\gamma_{10}+\frac{{\it \Omega}_{\rm c}^{2}\gamma_{20}} {\delta_{10}^{2}+\gamma_{20}^{2}}\Big)}{\Big(\delta_{10}-\frac{{\it \Omega}_{\rm c}^{2}\delta_{10}} {\delta_{10}^{2}+\gamma_{20}^{2}}\Big)^{2} +\Big(\gamma_{10} +\frac{{\it \Omega}_{\rm c}^{2}\gamma_{20}} {\delta_{10}^{2}+\gamma_{20}^{2}}\Big)^{2}},~~ \tag {4} \end{align} $$ $$\begin{align} T_{2}\equiv\,&(\rho_{22}+r_{T}\rho_{11})|_{\rm n=2}\\ =\,&\frac{A_{2}{\it \Omega}_{\rm p}^{20}\Big(\gamma_{20}+\frac{{\it \Omega}_{\rm c}^{2}\gamma_{10}} {\delta_{20}^{2}+\gamma_{10}^{2}}\Big)}{\Big(\delta_{20}-\frac{{\it \Omega}_{\rm c}^{2}\delta_{20}} {\delta_{20}^{2}+\gamma_{10}^{2}}\Big)^{2} +\Big(\gamma_{20} +\frac{{\it \Omega}_{\rm c}^{2}\gamma_{10}} {\delta_{20}^{2}+\gamma_{10}^{2}}\Big)^{2}}.~~ \tag {5} \end{align} $$ In Fig. 2 we show $T_{1}$ and $T_{2}$ for different control tone powers, ranging from $-$20 dBm to 1 dBm at the source output. The top one shows the spectrum with state $|1\rangle$ being probed, while the bottom one shows the spectrum with state $|2\rangle$ being probed. By fitting $T_{1}$ and $T_{2}$ with Eqs. (4) and (5) respectively, we can obtain the control tone strength ${\it \Omega}_{\rm c}$. For example, Fig. 3 shows the fitting of experimental data $T_{1}$ and $T_{2}$ at some typical control tone powers: $-$15 dBm, $-$10 dBm, $-$5 dBm and 0 dBm (corresponding to the control tone strengths ${\it \Omega}_{\rm c}/2\pi$ being 1.37, 2.14, 3.52 and 6.01 MHz, respectively). We can see that all the experimental results can be well described by Eqs. (4) and (5) with $\gamma_{10}=2\pi\times1.74$ MHz, $\gamma_{20}=2\pi\times4.02$ MHz and two fitting parameters ${\it \Omega}_{\rm c}$ and $A_{1}{\it \Omega}_{\rm p}^{10}$ ($A_{2}{\it \Omega}_{\rm p}^{20}$).
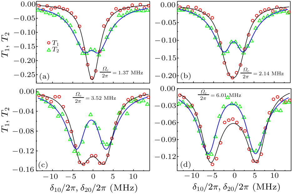
cpl-33-7-074205-fig3.png
Fig. 3. The fitting of $T_{1}$ denoted by red circle, ($T_{2}$ denoted by green triangle) with Eq. (4) (Eq. (5)) with fitting parameters ${\it \Omega}_{\rm c}$ and $A_{1}{\it \Omega}_{\rm p}^{10}$ ($A_{2}{\it \Omega}_{\rm p}^{20}$) at some typical control tone powers: $-$15 dBm, $-$10 dBm, $-$5 dBm and 0 dBm, from (a) to (d). The solid curves, black for $T_{1}$ and blue for $T_{2}$, are the fitting results with ${\it \Omega}_{\rm c}/2\pi=1.37$, 2.14, 3.52 and 6.01 MHz.
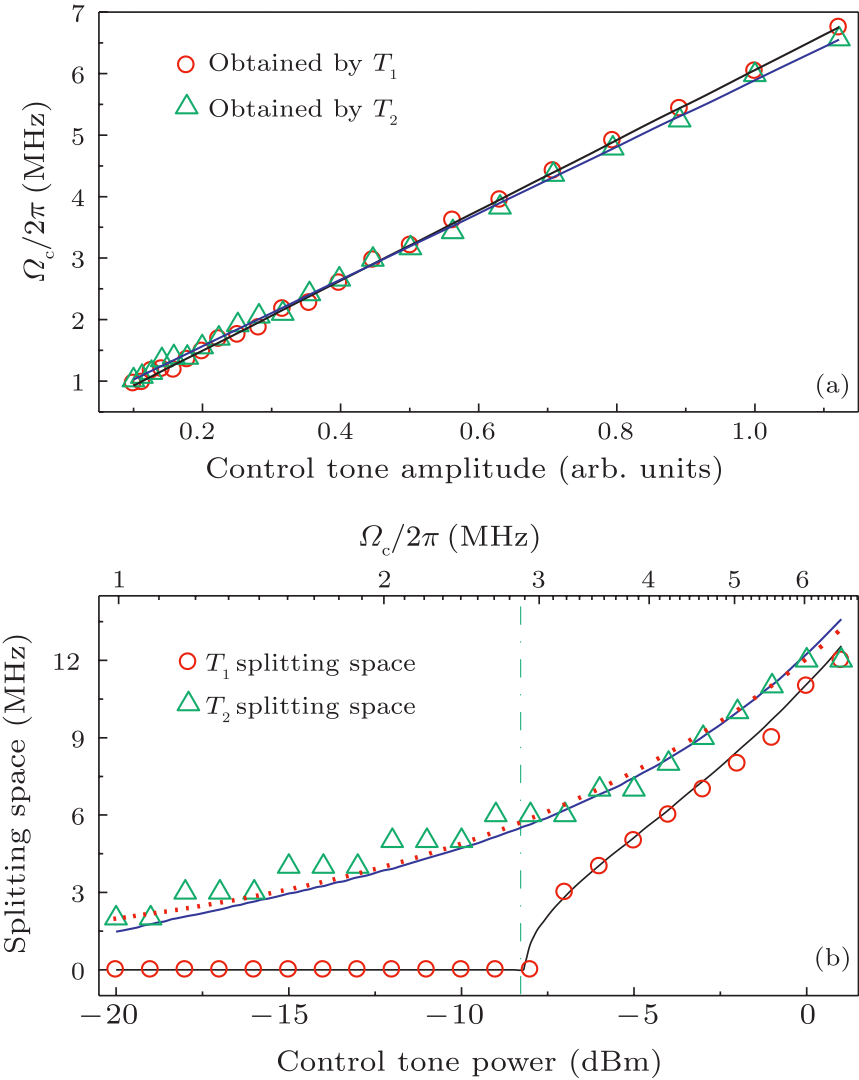
Due to the fact that states $|1\rangle$ and $|2\rangle$ are subjected to the same control tone field, the spectrum $T_{1}$ should give the same control strength as that given by spectrum $T_{2}$, for the same control tone power. In Fig. 4(a), the red open circles (green open triangles) represent the control strengths for different control tone amplitudes obtained by fitting $T_{1}$ ($T_{2}$) with Eq. (4) (Eq. (5)), while the black (blue) solid line is a linear fit. The control strength obtained by $T_{1}$ is the same as that given by $T_{2}$, considering the experiment error of about 4%, although spectrum $T_{1}$ is totally different from spectrum $T_{2}$. At the same time, the linearity of control strength with control tone amplitude shows that the system fits well with the theory of a two-level system with a resonant drive. For the ATS effect, one usually considers the splitting space of the doublet spectrum as twice as the control strength. This is a good approximation for a sufficiently strong control field, while for the condition where the control strength is comparable with the damping rates of the system, one cannot use this approximation anymore. Here we take the frequency space between the two minimum points of spectrum $T_{1}$ ($T_{2}$) as the splitting space of the doublet. If there is only one minimum point, the splitting space is taken as 0. In Fig. 4(b), we show the splitting space of experimental results. Red circles (green triangles) indicate the result of $T_{1}$ ($T_{2}$).
cpl-33-7-074205-fig4.png
Fig. 4. (a) Control tone strength at different control field amplitudes obtained by fitting $T_{1}$ ($T_{2}$) with Eq. (4) (Eq. (5)), indicated by red circles (green triangles), while the black (blue) solid line is a linear fitting. (b) The splitting space of the spectrum at different control tone strengths. Red circles (green triangles) represent the results of $T_{1}$ ($T_{2}$). The black (blue) solid line is calculated by $d{\rm Im}(\rho_{10})/d\delta_{10}=0$ ($d{\rm Im}(\rho_{20})/d\delta_{20}=0$), while the red dotted line indicates that the splitting is twice the control tone strength. The green dashed-dotted line indicates that ${\it \Omega}_{\rm c}=(\gamma_{10}+\gamma_{20})/2=2\pi\times 2.88$ MHz.
By solving $d{\rm Im}(\rho_{10})/d\delta_{10}=0$ ($d{\rm Im}(\rho_{20})/d\delta_{20}=0$), with $\gamma_{10}/2\pi=1.74$ MHz and $\gamma_{20}/2\pi=4.02$ MHz, the theoretical splitting space of $T_{1}$ ($T_{2}$) for different control strengths (i.e., different drive field powers) can be obtained, as shown by the black (blue) solid line in Fig. 4(b). We can see that the experimental result fits well with the theoretical calculation. When the control tone is strong enough (${\it \Omega}_{\rm c}\gg\gamma_{10}, \gamma_{20}$), the splitting space is almost twice the control strength. When the control tone is slightly weak (${\it \Omega}_{\rm c} < (\gamma_{10}+\gamma_{20})/2$), the splitting spaces of spectra $T_{1}$ and $T_{2}$ are totally different. No doublet is shown in $T_{1}$ while the splitting of spectrum $T_{2}$ is significant in this regime. In fact, under this condition the spectrum $T_{2}$ of the system is already in the transition regime between ATS and EIT effects. The two extreme points in $T_{2}$ are no longer only caused by dynamic shift. The EIT effect also has an effect on it. In our other system with the same experimental setup, by adjusting the damping rates, the system can fulfill the condition for realizing EIT and exhibits a clear EIT effect. In summary, we have measured the ATS effect in a ${\it \Delta}$-type 3D transmon superconducting system. A control tone is applied in resonance with the transition between the first and second excited states, and the transition spectra between each of them and the ground state have been probed. The experiment is well described by the model of a three-level system with two drive tones. Further analysis and comparison show that though the first and second excited states are subject to the same control tone, the splitting of the spectra are different. This gives a more complete dressed-state spectrum of the three-level system and it can be used to control two microwave tones at the same time with one control field.
References Atomic physics and quantum optics using superconducting circuitsStark Effect in Rapidly Varying FieldsElectromagnetically induced transparency: Optics in coherent mediaElectromagnetically induced transparencyCoherent population transfer between uncoupled or weakly coupled states in ladder-type superconducting qutritsStimulated Raman adiabatic passage in a three-level superconducting circuitRaman coherence in a circuit quantum electrodynamics lambda systemQuantum coherence and population transfer in a driven cascade three-level artificial atomOptomechanical analog of two-color electromagnetically induced transparency: Photon transmission through an optomechanical device with a two-level systemAutler-Townes splitting in a three-dimensional transmon superconducting qubitObservation of Autler–Townes effect in a dispersively dressed Jaynes–Cummings systemDemonstration of a Single-Photon Router in the Microwave RegimeDecoherence, Autler-Townes effect, and dark states in two-tone driving of a three-level superconducting systemDirect Observation of Coherent Population Trapping in a Superconducting Artificial AtomElectromagnetically Induced Transparency on a Single Artificial AtomTunable electromagnetically induced transparency and absorption with dressed superconducting qubitsAutler-Townes Effect in a Superconducting Three-Level SystemMeasurement of Autler-Townes and Mollow Transitions in a Strongly Driven Superconducting QubitTransition from Autler–Townes splitting to electromagnetically induced transparency based on the dynamics of decaying dressed statesElectromagnetically induced transparency and Autler-Townes splitting in superconducting flux quantum circuitsWhat is and what is not electromagnetically induced transparency in whispering-gallery microcavitiesObjectively Discerning Autler-Townes Splitting from Electromagnetically Induced TransparencyOptical Selection Rules and Phase-Dependent Adiabatic State Control in a Superconducting Quantum CircuitSuperconducting qubit in a waveguide cavity with a coherence time approaching 0.1 msObservation of High Coherence in Josephson Junction Qubits Measured in a Three-Dimensional Circuit QED ArchitectureFabrication of Al/AlO x /Al Josephson junctions and superconducting quantum circuits by shadow evaporation and a dynamic oxidation processSimulation and Characterization of Aluminium Three-Dimensional Resonator for Quantum Computation
[1] You J Q and Nori F 2011 Nature 474 589
[2] Aulter S H and Townes C H 1955 Phys. Rev. 100 703
[3] Fleischhauer M, Imamoglu A and Marangos J P 2005 Rev. Mod. Phys. 77 633
[4] Marangos J P 1998 J. Mod. Opt. 45 471
[5] Xu H K, Song C, Liu W Y, Xue G M, Su F F, Deng H, Tian Ye, Zheng D N, Han Siyuan, Zhong Y P, Wang H, Liu Y X and Zhao S P 2016 Nat. Commun. 7 11018
[6] Kumar K S, Vepsäläinen A, Danilin S and Paraoanu G S 2016 Nat. Commun. 7 10628
[7] Novikov S, Sweeney T, Robinson J E, Premaratne S P, Suri B and Wellstood F C 2015 Nat. Phys. 12 75
[8] Cho S U, Moon H S, Chough Y T, Bae M H and Kim N 2014 Phys. Rev. A 89 053814
[9] Wang H, Gu X, Liu Y X, Miranowicz A and Nori F 2014 Phys. Rev. A 90 023817
[10] Novikov S, Robinson J E, Keane Z K, Suri B, Wellstood F C and Palmer B S 2013 Phys. Rev. B 88 060503(R)
[11] Suri B, Keane Z K and Ruskov R 2013 New J. Phys. 15 125007
[12] Hoi I C, Wilson C M, Johansson G, Palomaki T, Peropadre B and Delsing P 2011 Phys. Rev. Lett. 107 073601
[13] Li J, Paraoanu G S, Cicak K, Altomare F, Park J I, Simmonds R W, Sillanpää M A and Hakonen P J 2011 Phys. Rev. B 84 104527
[14] Kelly W R, Dutton Z, Schlafer J, Mookerji B, Ohki T A, Kline J S and Pappas D P 2010 Phys. Rev. Lett. 104 163601
[15] Abdumalikov A A, Astafiev O, Zagoskin A M, Pashkin Yu A, Nakamura Y and Tsai J S 2010 Phys. Rev. Lett. 104 193601
[16] Ian H, Liu Y X and Nori F 2010 Phys. Rev. A 81 063823
[17] Sillanpää M A, Li J, Cicak K, Altomare F, Park J I, Simmonds R W, Paraoanu G S and Hakonen P J 2009 Phys. Rev. Lett. 103 193601
[18] Baur M, Filipp S, Bianchetti R, Fink J M, Göppl M, Steffen L, Leek P J, Blais A and Wallraff A 2009 Phys. Rev. Lett. 102 243602
[19] Lu X G, Miao X X, Bai J H, Pei L Y, Wang M, Gao Y L, Wu L A, Fu P M, Wang R Q and Zuo Z C 2015 J. Phys. B: At. Mol. Opt. Phys. 48 055003
[20] Sun H C, Liu Y X, Ian H, You J Q, Ilichev E and Nori F 2014 Phys. Rev. A 89 063822
[21] Peng B, Özdemir S K, Chen W J, Nori F and Yang L 2014 Nat. Commun. 5 5082
[22] Anisimov P M, Dowling J P and Sanders B C 2011 Phys. Rev. Lett. 107 163604
[23] Liu Y X, You J Q, Wei L F, Sun C P and Nori F 2005 Phys. Rev. Lett. 95 087001
[24] Rigetti C, Gambetta J M, Poletto S, Plourde B L T, Chow J M, Córcoles A D, Smolin J A, Merkel S T, Rozen J R, Keefe G A, Rothwell M B, Ketchen M B and Steffen M 2012 Phys. Rev. B 86 100506(R)
[25] Paik H, Schuster D I, Bishop L S, Kirchmair G, Catelani G, Sears A P, Johnson B R, Reagor M J, Frunzio L, Glazman L I, Girvin S M, Devoret M H and Schoelkopf R J 2011 Phys. Rev. Lett. 107 240501
[26] Wu Y L, Deng H, Yu H F, Xue G M, Tian Y, Li J, Chen Y F, Zhao S P and Zheng D N 2013 Chin. Phys. B 22 060309
[27] Zhao H, Li T F, Liu Q C, Liu J S and Chen W 2014 Chin. Phys. Lett. 31 102101