A Quorum Sensing Active Matter in a Confined Geometry
-
Abstract
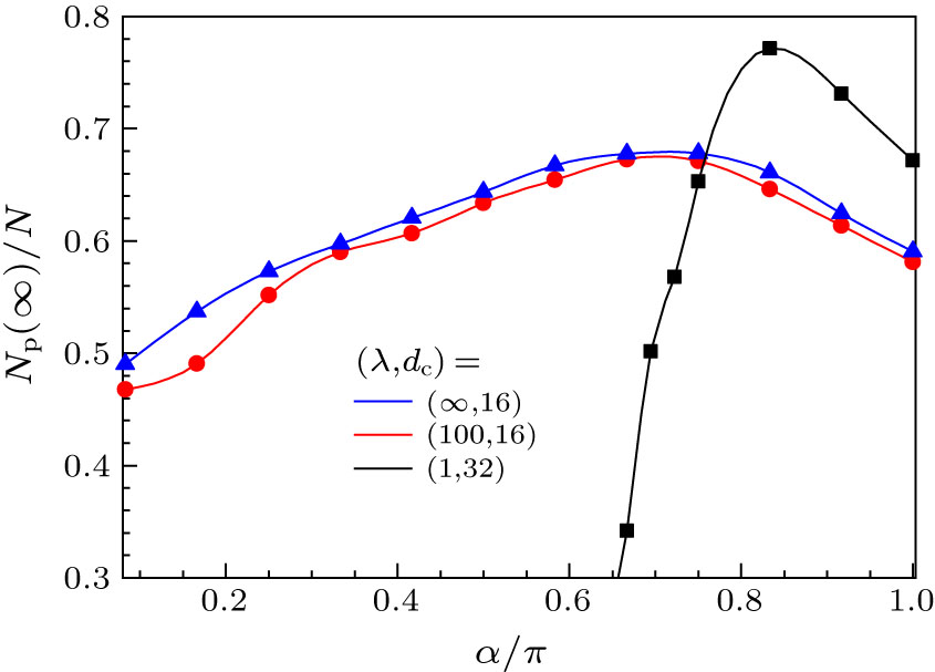
Inspired by the problem of biofilm growth, we numerically investigate clustering in a two-dimensional suspension of active (Janus) particles of finite size confined in a circular cavity. Their dynamics is regulated by a non-reciprocal mechanism that causes them to switch from active to passive above a certain threshold of the perceived near-neighbor density (quorum sensing). A variety of cluster phases, i.e., glassy, solid (hexatic) and liquid, are observed, depending on the particle dynamics at the boundary, the quorum sensing range, and the level of noise.
Article Text
-
-
-
About This Article
Cite this article:
Yuxin Zhou, Yunyun Li, Fabio Marchesoni. A Quorum Sensing Active Matter in a Confined Geometry[J].
Chin. Phys. Lett., 2023, 40(10): 100505.
DOI: 10.1088/0256-307X/40/10/100505
|
Yuxin Zhou, Yunyun Li, Fabio Marchesoni. A Quorum Sensing Active Matter in a Confined Geometry[J]. Chin. Phys. Lett., 2023, 40(10): 100505. DOI: 10.1088/0256-307X/40/10/100505
|
Yuxin Zhou, Yunyun Li, Fabio Marchesoni. A Quorum Sensing Active Matter in a Confined Geometry[J]. Chin. Phys. Lett., 2023, 40(10): 100505. DOI: 10.1088/0256-307X/40/10/100505
|
Yuxin Zhou, Yunyun Li, Fabio Marchesoni. A Quorum Sensing Active Matter in a Confined Geometry[J]. Chin. Phys. Lett., 2023, 40(10): 100505. DOI: 10.1088/0256-307X/40/10/100505
|