Structural Determination, Unstable Antiferromagnetism and Transport Properties of Fe-Kagome Y0.5Fe3Sn3 Single Crystals
-
Abstract
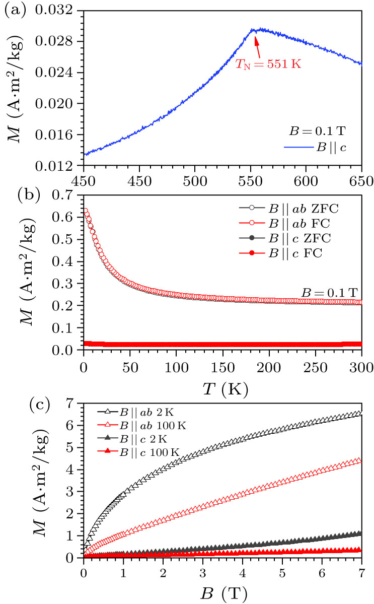
Kagome materials have been studied intensively in condensed matter physics. With rich properties, various Kagome materials emerge during this process. Here, we grew single crystals of Y0.5Fe3Sn3 and confirmed an YCo6Ge6-type Kagome-lattice structure by detailed crystal structure characterizations. This compound bears an antiferromagnetic ordering at TN = 551 K, and shows a weak ferromagnetism at low temperatures, where an anomalous Hall effect was observed, suggesting the non-zero Berry curvature. With the unstable antiferromagnetic ground state, our systematic investigations make Y0.5Fe3Sn3 a potential Kagome compound for Kagome or topological physics.
Article Text
-
-
-
About This Article
Cite this article:
Yang Liu, Meng Lyu, Junyan Liu, Shen Zhang, Jinying Yang, Zhiwei Du, Binbin Wang, Hongxiang Wei, Enke Liu. Structural Determination, Unstable Antiferromagnetism and Transport Properties of Fe-Kagome Y
0.5Fe
3Sn
3 Single Crystals[J].
Chin. Phys. Lett., 2023, 40(4): 047102.
DOI: 10.1088/0256-307X/40/4/047102
Yang Liu, Meng Lyu, Junyan Liu, Shen Zhang, Jinying Yang, Zhiwei Du, Binbin Wang, Hongxiang Wei, Enke Liu. Structural Determination, Unstable Antiferromagnetism and Transport Properties of Fe-Kagome Y0.5Fe3Sn3 Single Crystals[J]. Chin. Phys. Lett., 2023, 40(4): 047102. DOI: 10.1088/0256-307X/40/4/047102
|
Yang Liu, Meng Lyu, Junyan Liu, Shen Zhang, Jinying Yang, Zhiwei Du, Binbin Wang, Hongxiang Wei, Enke Liu. Structural Determination, Unstable Antiferromagnetism and Transport Properties of Fe-Kagome Y0.5Fe3Sn3 Single Crystals[J]. Chin. Phys. Lett., 2023, 40(4): 047102. DOI: 10.1088/0256-307X/40/4/047102
Yang Liu, Meng Lyu, Junyan Liu, Shen Zhang, Jinying Yang, Zhiwei Du, Binbin Wang, Hongxiang Wei, Enke Liu. Structural Determination, Unstable Antiferromagnetism and Transport Properties of Fe-Kagome Y0.5Fe3Sn3 Single Crystals[J]. Chin. Phys. Lett., 2023, 40(4): 047102. DOI: 10.1088/0256-307X/40/4/047102
|